René DescartesDescartes et les Mathématiques

La Géométrie de Descartes - Livre deuxième

La méthode des tangentes

Fac-similés de « La Géométrie » de René Descartes et commentaires sur la recherche de normales pour trouver les tangentes à une courbe ;
d'après l'édition de 1637 publiée dans The geometry of Rene Descartes de David Eugene Smith et Marcia L. Latham

La Géométrie

Livre Premier – texte et notes pour mobiles

Les opérations algébriques

Le problème de Pappus

Livre Second

De la nature des lignes courbes
La méthode des tangentes(cette page)

Premier ovale de Descartes

Page mobile friendly Sur tablette numérique ou smartphone, bascule automatique vers la version mobile du livre Second

Livre Troisième – texte et notes pour mobiles

Les équations

La racine cubique

Table des matières

Quelles sont les lignes courbes qu'on décrit en trouvant plusieurs de leurs points qui peuvent être reçues en géométrie

page 339

Quelles sont aussi celles qu'on décrit avec une corde qui peuvent y être reçues

page 340

Que, pour trouver toutes les propriétés des lignes courbes, il suffit de savoir le rapport qu'ont tous leurs points à ceux
des lignes droites ; et la façon de tirer d'autres lignes qui les coupent en tous ces points à angles droits

page 341

Façon générale pour trouver des lignes droites qui coupent les courbes données ou leurs contingentes à angles droits

page 342

Exemple de cette opération en une ellipse et en une parabole du second genre

page 343

Autre exemple en une ovale du second genre

page 344

Exemple de la construction de ce problème en la conchoïde

page 351

Nouveauté de La Géométrie : la définition d'une courbe par son équation permet de résoudre algébriquement le problème des normales et tangentes. Cette méthode est l'origine du développement ultérieur de la géométrie analytique.
C'est ce que les mathématiciens du dix-septième ont le plus retenu de Descartes et qui assurera la prospérité de « La Géométrie ».

Le problème des tangentes fut l'objet de controverses entre Pierre de Fermat et René Descartes.
Fermat avait bien pressenti la nature affine du problème alors que Descartes se plaçait dans le cadre euclidien, avec des calculs compliqués sur des fonctions algébriques régulières.

La méthode des normales de Descartes et les méthodes de Roberval et de Fermat sont les jalons qui préparèrent l'invention du calcul infinitésimal par Leibniz et Newton.

La méthode de Descartes est de déterminer le cercle osculateur, d'où la normale joignant le point de contact au centre et enfin la tangente perpendiculaire à cette normale au point de contact.

En résolvant, par la méthode des coefficients indéterminés, l'équation qui donne les coordonnées de l'intersection de la courbe et d'un cercle, la recherche de deux racines égales permet de trouver le cercle tangent ayant son centre sur cette normale et d'en déduire la tangente au point double.

Il utilise aussi cette méthode pour ses ovales, en rapport avec la fabrication de lentilles optiques.
Il détermine quelle est la tangente en un point de la cycloïde.

Pages précédentes : lieu de Pappus à cinq droites

Quelles sont les lignes courbes qu'on décrit en trouvant plusieurs de leurs points qui peuvent être reçues en géométrie

Page 339

Même il est à propos de remarquer qu'il y a grande différence entre cette façon (cette méthode de la géométrie analytique) de trouver plusieurs points

La Géométrie - Livre second - Page 340

la geometrie de descartes - ed. 1637 - page 340

pour tracer une ligne courbe, et celle dont on se sert pour la spirale et ses semblables (Courbes transcendantes appelées par Descartes mécaniques) ; car par cette dernière on ne trouve pas indifféremment tous les points de la ligne qu'on cherche, mais seulement ceux qui peuvent être déterminés par quelque mesure plus simple que celle qui est requise pour la composer ; et ainsi, à proprement parler, on ne trouve pas un de ses points, c'est-à-dire pas un de ceux qui lui sont tellement propres qu'ils ne puissent être trouvés que par elle ; au lieu qu'il n'y a aucun point dans les lignes qui servent à la question proposée, qui ne se puisse rencontrer entre ceux qui se déterminent par la façon tantôt expliquée.

Et pour cette façon de tracer une ligne courbe, en trouvant indifféremment plusieurs de ses points, ne s'étend qu'à celles qui peuvent aussi être décrites par un mouvement régulier et continu, on ne la doit pas entièrement rejeter de la Géométrie.

Quelles sont aussi celles qu'on décrit avec une corde qui peuvent y être reçues

Et on n'en doit pas rejeter non plus celle où on se sert d'un fil ou d'une corde repliée pour déterminer l'égalité de la somme ou de la différence de deux ou plusieurs lignes droites qui peuvent être tirées de chaque point de la courbe qu'on cherche, à certains autres points, ou sur certaines autres lignes à certains angles, ainsi que nous avons fait en la Dioptrique (la Dioptrique a été publiée avec La Géométrie à la suite du discours de la méthode) pour expliquer l'ellipse

et l'hyperbole ; car encore qu'on n'y puisse recevoir aucune ligne qui semblent à des cordes, c'est-à-dire qui deviennent tantôt droites et tantôt courbes, à cause que la proportion qui est entre les droites et les courbes n'étant pas connue, et même, je crois, ne le pouvant être par les hommes, on ne pourrait rien conclure de là qui

La Géométrie - Livre second - Page 341

la geometrie de descartes - ed. 1637 - page 341

fût exact et assuré.

Ironie du sort : Descartes affirme ici que la rectification des courbes n'est pas toujours possible, alors qu'il évoque ci-dessus la spirale, spirale dont Torricelli calculera la longueur des arcs. Ce sera le premier exemple historique de rectification.

Publimath Dominique Gaud

Toutefois à cause qu'on ne se sert de cordes en ces constructions que pour déterminer des lignes droites dont on connaît parfaitement la longueur, cela ne doit point faire qu'on les rejette.

Que, pour trouver toutes les propriétés des lignes courbes, il suffit de savoir le rapport qu'ont tous leurs points à ceux des lignes droites ; et la façon de tirer d'autres lignes qui les coupent en tous ces points à angles droits

Or de cela seul qu'on sait le rapport qu'ont tous les points d'une ligne courbe à tous ceux d'une ligne droite (par rapport à un axe pour les x, l'axe des y n'est pas explicité), en la façon que j'ai expliquée (par une équation de la courbe), il est aisé de trouver aussi le rapport qu'ils ont à tous les autres points et lignes données ; et ensuite de connaître les diamètres, les essieux (axes), les centres et autres lignes (normales et tangentes) ou points à qui chaque ligne courbe aura quelque rapport plus particulier ou plus simple qu'aux autres ; et ainsi d'imaginer divers moyens pour les décrire, et d'en choisir les plus faciles ; et même on peut aussi, par cela seul, trouver quasi (quasiment) tout ce qui peut être déterminé touchant la grandeur de l'espace qu'elles comprennent, sans qu'il soit besoin que j'en donne plus d'ouverture.

Et enfin pour ce qui est de toutes les autres propriétés qu'on peut attribuer aux lignes courbes, elles ne dépendent que de la grandeur des angles qu'elles font avec quelques autres lignes.

Mais lorsqu'on peut tirer des lignes droites qui les coupent à angles droits, aux points où elles sont rencontrées par celles avec qui elles font les angles qu'on veut mesurer, ou, ce que je prends ici pour le même, qui coupent leurs contingentes (tangentes), la grandeur de ces angles n'est pas plus malaisée à trouver que s'ils étaient compris entre deux lignes droites.

C'est pourquoi je croirai avoir mis ici tout ce qui est requis pour les éléments des lignes courbes, lorsque j'aurai généralement donné la façon de tirer des lignes droites qui tombent à angles droits sur

La Géométrie - Livre second - Page 342

la geometrie de descartes - ed. 1637 - tangente a l'ellipse - figure 12 - page 342

tels de leurs points qu'on voudra choisir.

Et j'ose dire que c'est ceci le problème le plus utile et le plus général, non seulement que je sache, mais même que j'aie jamais désiré de savoir en géométrie.

Façon générale pour trouver des lignes droites qui coupent les courbes données ou leurs contingentes (tangentes) à angles droits

Pour une courbe (E’), Descartes décrit son système d'axes, qui à partir d'un point A, permet d'en écrire l'équation avec les coordonnées d'un point C : l'abscisse y est égal à la distance AM projetée sur le diamètre (AG) et l'ordonnée x est la distance CM « appliquée par ordre » sur (AG), d'où le nom ordonnée.

Un cercle de centre P situé sur (AG) coupe la courbe aux deux points C et E. La recherche d'une racine double lui permet, par l'égalité des deux points d'intersection, de trouver la normale CP.

Soit CE la ligne courbe, et qu'il faille tirer une ligne droite par le point C, qui fasse avec elle des angles droits.

Je suppose la chose déjà faite, et que la ligne cherchée est CP, laquelle je prolonge jusqu'au point P, ou elle rencontre la ligne droite GA (axe des y), que je suppose être celle aux points de laquelle on rapporte tous ceux de la ligne CE : en sorte que faisant MA ou CB = y et CM ou BA = x, j'ai quelque équation (de la courbe), qui explique le rapport, qui est entre x et y.

Dans le repère Ayx, nous avons ce que nous appelons l'équation du cercle de centre P(v, 0) ; passant par le point C(y, x) ; de rayon s :
(y –v)2 + x2 = s2.


Puis je fais P C = s et PA = v, ou PM = v – y, et à cause du triangle rectangle PMC, j'ai s2 qui est le carré de la base égal à x2 + v2 – 2vy + y2, qui sont les carrés des deux côtés ; c'est-à-dire j'ai

x = \sqrt{s^2 - v^2 + 2vy - y^2},
ou bien y = y = v +\sqrt{s^2 - x^2},

et par le moyen de cette équation, j'ôte de l'autre équation qui m'explique le rapport qu'ont tous les points de la courbe CB à ceux de la droite GA, l'une des deux quantités indéterminées x ou y ce qui est aisé à faire en mettant partout

\sqrt{s^2 - v^2 + 2vy - y^2},

au lieu de x, et le carré de cette somme au lieu de x2, et son cube au lieu de x3, et ainsi des autres, si c'est x que je veuille ôter ;

La Géométrie - ellipse de Descartes - copyright Patrice Debart 2010

g2w Télécharger la figure GéoPlan ellipse.g2w

Il est donc possible de substituer x dans l'équation de la courbe et la relation en y permet de trouver les abscisses y des points d'intersection de la courbe et du cercle.

La Géométrie - Normale à l'ellipse - Page 343

la geometrie de descartes - ed. 1637 - normale a l'ellipse - figure 16 - mouvement d'une parabole - figure 13 - page 343

ou bien si c'est y, en mettant en son lieu v + \sqrt{s^2 - x^2}
(Errata : v au lieu de x),
et le carré, ou le cube, etc. de cette somme, au lieu de y2 ou y3, etc.

De façon qu'il reste toujours après cela une équation, en laquelle il n'y a plus qu'une seule quantité indéterminée, x ou y.

Exemple de cette opération en une ellipse et en une parabole du second genre

(Titre dans la table des matières ; paraboles et ellipses sont du premier genre)

Comme si CE est une Ellipse, et que MA soit le segment de son diamètre, auquel CM soit appliquée par ordre

(par ordre : perpendiculairement à l'axe ; d'où le mot ordonnée), et qui ait r pour son côté droit et q pour le traversant (GA), on a par le treizième théorème du premier livre d'Apollonius,
x^2 = ry - \frac{r}{q}y^2
(équation de l'ellipse dans le repère d'origine A ; y > 0),
D'où ôtant x2, il reste (la relation vérifiée par les points d'intersection de l'ellipse et du cercle) :

s^2 - v^2 + 2vy - y^2 = ry - \frac{r}{q}y^2
ou bien : y^2 + \frac{qry-2qvy+qv^2-qs^2}{q - r} = 0

car il est mieux en cet endroit de considérer ainsi ensemble toute la somme, que d'en faire une partie égale à l'autre (Conseil fondamental pour l'écriture des équations : transférer tous les termes à gauche).

Tout de même si CE est la ligne courbe décrite par le mouvement d'une Parabole en la façon ci-dessus expliquée, et qu'on ait posé b pour GA, c pour KL et d pour le côté droit du diamètre KL en la parabole, l'équation qui explique le rapport

Page 344

qui est entre x et y est

y3by2cdy + bcd + dxy = 0,

d'où ôtant x, on a

y^3 - by^2 - cdy + bcd + dy\sqrt{s^2 - v^2 + 2vy - y^2}

(le fac-similé a été corrigé)

et remettant en ordre ces termes par le moyen de la multiplication, il vient

y^6-2by^5+\left.\begin{array}{r}-2cd\\+b^2\\+d^2 \end{array}\right\}y^4+\left.\begin{array}{r}+4bcd\\-2d^2v \end{array}\right\}y^3+\left.\begin{array}{r}-2b^2cd\\+c^2d^2\\ -d^2s^2 \\ +d^2v^2\end{array}\right\}y^2

Dans une expression polynomiale, les coefficients formés de plusieurs termes que nous écrivons entre deux parenthèses sont placés par Descartes l'un sous l'autre :

y6 – 2by5 + (b2–2cd+d2)y4 + (4bcd–2d2v)y3 + (c2d2d2s2+d2v2–2b2cd)y2
– 2bc2d2y + b2c2d2 = 0

et ainsi des autres.

Autre exemple en une ovale du second genre

la geometrie de descartes - ed. 1637 - tangente a l'ellipse - figure 12 - page 344

(Titre dans la table des matières - Ovale est du féminin chez Descartes)

Même encore que les points de la ligne courbe ne se rapportaient pas, en la façon que j'ai dite à ceux d'une ligne droite, mais en toute autre qu'on saurait imaginer, on ne laisse pas de pouvoir toujours avoir une telle équation.

Comme si CE est une ligne, qui ait tel rapport aux trois points F, G et A, que les lignes droites tirées de chacun de ses points comme C, jusqu'au point F, surpassent la ligne SA d'une quantité, qui ait certaine proportion donnée à une autre quantité dont GA surpasse les lignes tirées des mêmes points jusqu'à G

(le rapport de CF – CA à GA – CG est constant).

Faisons GA = b, AF = c et prenant à discrétion le point C dans la courbe, que la quantité dont CF surpasse SA, soit à celle dont GA surpasse GC, comme d à c, en sorte que si cette quantité qui est indéterminée se nomme z, FC est c + z et GC est b - z e/d.

Puis posant MA = y, GM est b – y, et FM est c + y, et à cause du triangle rectangle CMG, ôtant le carré

La Géométrie - Livre second - Page 345

la geometrie de descartes - ed. 1637 - page 345

de GM du carré de GC, on a le carré de CM, qui est

\frac{c^2}{d^2}z^2 - \frac{2bc}{d}z + 2by - y^2

puis ôtant le carré de FM du carré de FC, on a encore le carré de CM en d'autres termes,
à savoir z2 + 2cz – 2cyy2 ; et ces termes étant égaux aux précédents, ils font connaître y ou MA, qui est

\frac{d^2z^2 + 2cd^2z - c^2z^2 + 2bdez}{2bd^2 + 2cd^2}

et substituant cette somme au lieu de y dans le carré de CM, on trouve qu'il s'exprime en ces termes

\frac{bd^2z^2 + ce^2z^2 + 2bcd^2z - 2bcdez}{bd^2 + cd^2} - y^2.

Puis supposant que la ligne droite PC rencontre la courbe à angles droits au point C, et faisant PC = s et PA = v comme devant, PM est v – y ; et à cause du triangle rectangle PCM, on a s2v2 + 2vy – y2 pour le carré de CM, ou derechef ayant au lieu de y substitué la somme qui lui est égale, il vient


z^2 + \frac{2bcd^2z-2bcdez-2cd^2vz-2bdevz-bd^2s^2+bd^2v^2-cd^2s^2+cd^2v^2}{bd^2 + ce^2 + e^2v - d^2v}= 0

pour l'équation que nous cherchions.

Or après qu'on a trouvé une telle équation (équations de l'ellipse, de la conchoïde… découvertes par Descartes), au lieu de s'en servir pour connaître les quantités x ou y, ou z, qui sont déjà données, puisque le point C est donné, on la doit employer à trouver v ou s, qui déterminent le point P, qui est demandé.

Exposition de la méthode page suivante : le cercle et la courbe se coupent en deux points C et E. Ils sont tangents si les deux points sont confondus, ce qui correspond à des racines égales.

Et à cet effet, il faut considérer, que si ce point P est tel qu'on le désire, le cercle dont il sera le centre, et qui passera par le point C, y touchera la ligne courbe CE, sans la couper ; mais que si ce point P, est tant soit peu plus proche, ou plus éloigné du point

La Géométrie - Livre second - Page 346

la geometrie de descartes - ed. 1637 - cercle et courbe se coupent en deux points - figure 15 - page 346

Remarque : Victor Cousin propose une figure 15 symétrique à celle ci-contre, avec permutation des points M et Q, le texte est alors modifié en conséquence.

 

A, qu'il ne doit, ce cercle coupera la courbe, non seulement au point C, mais aussi nécessairement en quelque autre.

Puis il faut aussi considérer, que lorsque ce cercle coupe la ligne courbe CE, l'équation par laquelle on cherche la quantité x ou y, ou quelque autre semblable, en supposant PA et PC être connues, contient nécessairement deux racines, qui sont inégales.

Car par exemple si ce cercle coupe la courbe aux points C et E, ayant tiré EQ parallèle à CM, les noms des quantités indéterminées x et y, conviendront aussi bien aux lignes EQ et QA, qu'à CM et MA ; puis PE est égale à PC, à cause du cercle, si bien que cherchant les lignes EQ et QA, par PE et PA qu'on suppose comme données, on aura la même équation que si on cherchait CM et MA par PC, PA, d'où il suit évidemment, que la valeur de x ou de y, ou de telle autre quantité qu'on aura supposée, sera double en cette équation, c'est-à-dire qu'il y aura deux racines inégales entre elles, et dont l'une sera CM, l'autre EQ, si c'est x qu'on cherche, ou bien l'une sera MA et l'autre QA, si c'est y ; et ainsi des autres.

Il est vrai que si le point E ne se trouve pas du même côté de la courbe que le point C, il n'y aura que l'une de ces deux racines qui soit vraie, et l'autre sera renversée, ou moindre que rien (négative)  : mais plus ces deux points C et E, sont proches l'un de l'autre, moins il y a de différence entre ces deux racines ;

La Géométrie - Livre second - Page 347

la geometrie de descartes - ed. 1637 - normale a l'ellipse - figure 16 - page 347

et enfin elles sont entièrement égales, s'ils sont tous deux joints en un ; c'est-à-dire si le cercle, qui passe par C, y touche la courbe CE sans la couper.

De plus il faut considérer, que lorsqu'il y a deux racines égales en une équation, elle a nécessairement la même forme, que si on multiplie par soi-même la quantité qu'on y suppose être inconnue, moins la quantité connue qui lui est égale (le carré de y – e), et qu'après cela si cette dernière somme n'a pas tant de dimensions que la précédente, on la multiplie par une autre somme qui en ait autant qu'il lui en manque ; afin qu'il puisse y avoir séparément équation entre chacun des termes de l'une et chacun des termes de l'autre.

Technique d'identification de Descartes : si le cercle et la courbe sont tangents au point d'abscisse e,
alors (y – e)2 est factorisable dans l'équation. Pour l'expression du second degré ci-dessous, il l'identifie à
y2 – 2ey + e2,

avec le coefficient – (2qv-qr)/(q-r) de y

égal à – 2e et il pourra conclure sans utiliser le coefficient constant e2.

Comme par exemple, je dis que la première équation (premier membre de l'équation) trouvée ci-dessus, à savoir

y^2 + \frac{qry - 2qvy + qv^2 - qs^2}{q - r}

doit avoir la même forme que celle qui se produit en faisant e égal à y,
et multipliant y – e par soi-même, d'où il vient y2 – 2ey + e2, en sorte qu'on peut comparer séparément chacun de leurs termes, et dire que puisque le premier qui est y2 est tout le même en l'une qu'en l'autre,
le second qui est en l'une

\frac{qry - 2 qvy}{q - r}

est égal au second de l'autre qui est – 2ey, d'où cherchant la quantité v qui est la ligne PA, on a

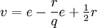
v = e - {\frac{r}{q}}e + \frac 12 r,

à cause que nous avons suppose e égal à y, on a

v = y - {\frac{r}{q}}y + \frac 12 r.

Si Descartes avait eu GéoPlan…

la geometrie de descartes - ed. 1637 - normale et tangente a l'ellipse - copyright Patrice Debart 2010

Reprenons l'orientation de la figure de la page 342 et permutons les coordonnées.
Dans le repère d'origine A, l'ellipse d'équation y^2 = ry - \frac{r}{q}x^2, de foyers f1 et f2, a pour côté droit r = kk' et pour traversant q = AG. Pour le point C d'abscisse e, le point P a pour abscisse v = e - {\frac{r}{q}}e + \frac 12 r.

La perpendiculaire en C en à (CP) coupe (AG) en F. Avec GéoPlan il est possible de vérifier que (CP) et (CF) sont bien les bissectrices de l'angle formé par les rayons focaux (Cf1) et (Cf2).

(CP) est la normale à l'ellipse en C et (CF) la tangente.
Le cercle de centre P passant par C est le cercle osculateur.

g2w Télécharger la figure GéoPlan ellipse2.g2w

Et ainsi on pourrait trouver s par le troisième terme e^2 = \frac{qv^2 - qs^2}{q - r} mais pourceque la quantité v détermine assez le point P, qui est le seul que nous cherchions, on n'a pas besoin de passer outre.

Tout de même la seconde équation trouvée ci-dessus (Page 344), à savoir

y^6 - 2by^5 +\left.\begin{array}{r} + b^2 \\ -2cd \\ +d^2 \end{array}\right\}y^4 +\left.\begin{array}{r} +4bcd \\ -2d^2v \end{array}\right\}y^3 +\left.\begin{array}{r} +c^2d^2 \\ -d^2s^2 \\ +d^2v^2 \\ -2b^2cd \end{array}\right\}

y6–2by5+(b2–2cd+d2)y4+(4bcd–2d2v)y3+(c2d2d2s2+d2v2 –2b2cd)y2 –2bc2d2y +b2c2d2 = 0.

doit avoir même forme, que la somme qui se produit lorsqu'on multiplie

y2 – 2ey + e2 par y4 + fy3 + g2y2 + h3y + k4

qui est

y^6 + \left.\begin{array}{r} +f \\ -2e \end{array}\right\}y^5 + \left.\begin{array}{r} +g^2 \\ -2ef \\ +e^2 \end{array}\right\}y^4 + \left.\begin{array}{r} +h^3 \\ -2eg^2 \\ +e^2f \end{array}\right\}y^3

y6 + (f–2e)y5 + (g2–2ef+e2)y4 + (h3–2eg2+e2f)y3 + (k4–2eh3+e2g2)y2 + (–e2h3–2ek4)y + e2k4

La Géométrie - Livre second - Page 348

la geometrie de descartes - ed. 1637 - page 348

de façon que de ces deux équations j'en tire six autres, qui servent à connaître les six quantités f, g, h, k, v et s.

D'où il est sort aisé à entendre, que de quelque genre, que puisse être la ligne courbe proposée, il vient toujours par cette façon de procéder autant d'équations, qu'on est obligé de supposer de quantités, qui sont inconnues. Mais pour démêler par ordre ces équations, et trouver enfin la quantité v, qui et la seule dont on a besoin, et à l'occasion de laquelle on cherche les autres, il faut premièrement par le second terme chercher f, la première des quantités inconnues de la dernière somme, et on trouve f = 2e – 2b.

Puis par le dernier il faut chercher k, la dernière des quantités inconnues de la même somme, et on trouve

k^4 = \frac{b^2c^2d^2}{e^2}

Page 349

Puis par le troisième terme il faut chercher g la seconde quantité, et on a

g2 = 3e2 – 4be – 2cd + b2 + d2.

Puis par le(la) pénultième il faut chercher h, la pénultième quantité, qui est

h^3 = \frac{2b^2c^2d^2}{e^2} - \frac{bc^2d^2}{e^2}.

Et ainsi il faudrait continuer suivant ce même ordre jusqu'à la dernière, s'il y en avait d'avantage en cette somme ; car c'est chose qu'on peut toujours faire en même façon.

Puis par le terme qui suit en ce même ordre, qui est ici le quatrième, il faut chercher la quantité v, et on a

v = \frac{2e^2}{d^2}-\frac{3be^2}{d^2}+\frac{b^2e}{d^2} - \frac{2ce}{d}+e+\frac{2bc}{d}+\frac{bc^2}{e^2}-\frac{b^2c^2}{e^3}

ou mettant y au lieu de e qui lui est égal on a

v=\frac{2y^2}{d^2}-3\frac{by^2}{d^2}+\frac{b^2y}{d^2}-\frac{2cy}{d}+y+\frac{2bc}{d}+\frac{bc^2}{y^2}-\frac{b^2c^2}{y^3}

pour la ligne AP.

Et ainsi la troisième équation, qui est

La Géométrie - Livre second - Page 349

la geometrie de descartes - ed. 1637 - mouvement d'une parabole - figure 13 - page 349
z^2+\frac{2bcd^2z-2bcdez-2cd^2vz-2bdevz-bd^2s^2+bd^2v^2-cd^2s^2+cd^2v^2}{bd^2+ce^2+e^2v-d^2v}

La Géométrie - Livre second - Page 350

la geometrie de descartes - ed. 1637 - normale a l'ellipse - figure 14 - page 350

a la même forme que z2 – 2fz + f 2,
en supposant f égal à z, si bien qu'il y a derechef équation entre – 2f ou – 2z, et

\frac{2bcd^2 - 2bcde - 2cd^2v - 2bdev}{bd^2 + ce^2 + e^2v -d^2v}.

d'où on connaît que la quantité v est

\frac {bcd^2 - bcde + bd^2z + ce^2z}{cd^2 + bde -e^2z + d^2z}.

 

Façon générale pour trouver des lignes droites qui coupent les courbes données ou leurs contingentes (tangentes) à angles droits.

Titre page 342

C'est pourquoi, composant la ligne AP de cette somme égale à v, dont toutes les quantités sont connues, et tirant du point P ainsi trouvé, une ligne droite vers C, elle y coupe la courbe CE à angles droits ; qui est ce qu'il fallait faire.

Et je ne vois rien qui empêche qu'on n'étende ce problème en même façon à toutes les lignes courbes qui tombent sous quelque calcul géométrique.

Même il est à remarquer, touchant la dernière somme, qu'on prend à discrétion pour remplir le nombre des dimensions de l'autre somme lorsqu'il y en manque,
comme nous avons pris tantôt

y4 + fy3 + g2y2 + h3y + k4 que les signes + et – y peuvent être supposés tels qu'on veut, sans que la ligne v ou AP se trouve diverse pour cela, comme vous pourrez aisément voir par expérience.

Descartes considère les coefficients indépendamment de leur signe, d'où il en suggère une généralisation.

Humour de Descartes :

Car s'il fallait que je m'arrêtasse à démontrer tous les théorèmes dont je

La Géométrie - Livre second - Page 351

la geometrie de descartes - ed. 1637 - normale à la conchoïde - figure 17 - page 351

fais quelque mention, je serais contraint d'écrire un volume beaucoup plus gros que je ne désire.

Mais je veux bien en passant vous avertir que l'invention de supposer deux équations de même forme, pour comparer séparément tous les termes de l'une à ceux de l'autre, et ainsi en faire naître plusieurs d'une seule, dont vous avez vu ici un exemple, peut servir à une infinité d'autres problèmes, et n'est pas l'une des moindres de la méthode dont je me sers.

Encore de l'humour :

Je n'ajoute point les constructions par lesquelles on peut décrire les contingentes (tangentes) ou les perpendiculaires cherchées, ensuite du calcul que je viens d'expliquer, à cause qu'il est toujours aisé de les trouver, bien que souvent on ait besoin d'un peu d'adresse pour les rendre courtes et simples.


Exemple de la construction de ce problème en la conchoïde

geometrie de Descartes - tangente à la conchoïde - copyright Patrice Debart 2010

g2w Télécharger la figure GéoPlan conchoide_tangente.g2w

Étant donné une directrice (BH), un pôle A non situé sur (BH), et un module
b = DB, à partir d'un point E de la directrice, on construit le point C de la droite (AE) situé à une distance b de E tels que : CE = DB = b.
La conchoïde de droite est le lieu géométrique des points C lorsque le point E parcourt (BH).

Comme par exemple, si DC est la première conchoïde des anciens, dont A soit le pôle et BH la règle (directrice), en sorte que toutes les lignes droites qui regardent vers A, et sont comprises entre la courbe CD et la droite BH, comme DB et CE, soient égales, et qu'on veuille trouver la ligne CG qui la coupe au point C à angles droits, on pourrait, en cherchant dans la ligne BH le point par où cette ligne CG doit passer, selon la méthode ici

Page 352 (fac-similé sur la page ovale)

expliquée, s'engager dans un calcul autant ou plus long qu'aucun des précédents : et toutefois la construction qui devrait après en être déduite est fort simple ; car il ne faut que prendre CF en la ligne droite CA, et la faire égale à CH qui est perpendiculaire sur HB ; puis du point F tirer FG parallèle à BA et égale à EA ; au moyen de quoi on a le point G, par lequel doit passer CG la ligne cherchée (GC normale en C à la conchoïde).

Page suivantes : ovale

Parabole

Dans ses Commentaires sur la géométrie de Descartes, page 314, Claude Rabuel applique la méthode des tangentes à la parabole.

Cercle coupant une parabole

la geometrie de descartes - ed. 1637 - cercle coupant une parabole - copyright Patrice Debart 2010

Soit la parabole d'équation y2 = 2 mx.

Avec les notations modernes l'équation du cercle de centre P(v, 0), passant par le point C(y, x), de rayon s, est :
(x – v)2 + y2 = s2.

En substituant y2, les abscisses des points d'intersection du cercle et de la parabole sont données par :
(x – v)2 + 2 mx = s2, soit x2 – 2 (vm)x + v2s2 = 0.

Cercle osculateur de la parabole

la geometrie de descartes - ed. 1637 - cercle osculateur de la parabole - copyright Patrice Debart 2010

Les points C et E sont confondus si le discriminant de l'équation du second degré est nul.

On a alors une racine double x = v – m, soit v = x + m.

On retrouve la propriété classique de la parabole :
la sous-normale est constante : MP = m (m>0).

g2w Télécharger la figure GéoPlan ellipse2.g2w


Mon travail sur WikiSource WikiSource

Orthographe modernisé : La Géométrie

Œuvre mathématique
de René Descartes

Note sur le
problème de Pappus

Notes pour
« La Géométrie »

 

Page no 161, créée le 5/10/2010
modifiée le 22/11/2010