René Descartes Descartes et les Mathématiques

Descartes et Pappus

Fac-similés de « La Géométrie » de 1637 et commentaires sur le problème de Pappus.

Le problème de Pappus

Les coniques comme lieux de points (niveau bac + 2) 

1. Le texte de Descartes : 

2. La mise en équation du problème : 

3. La solution de Descartes : 

4. 5. 6. Trois exemples d'autres solutions : 

 

 

1. Le problème de Pappus

2. Géométrie cartésienne

3. Cercle

4. Ellipse

5. Hyperbole

6. Parabole

la geometrie de descartes - ed. 1637 - le problème de Pappus

Table des matières

1. Le problème de Pappus

Exemple tiré de Pappus

page 304

Réponse à la question de Pappus

page 307

Poser les termes pour l'équation

page 310

Ce problème proposé en moins de cinq lignes

page 313

Livre second : suite de l'explication de la question de Pappus

Solution de cette question quand elle n'est proposée qu'en trois ou quatre lignes

page 323

Démonstration de cette solution

page 332

Conclusions sur le problème de Pappus :

Quels sont les lieux plans et solides, et la façon de les trouver tous

page 334

Lieu de Pappus à cinq droites :

Quelle est la première et la plus simple de toutes les lignes courbes qui servent à la question des anciens quand elle est proposée en cinq lignes

page 335

2. La mise en équation du problème : Géométrie cartésienne - repère

3. Cercle solution du problème de Pappus

4. Ellipse

5. Hyperbole

6. Parabole

Théorie de Descartes

Le problème de Pappus, solution neuve (en 1637) pour un problème ancien, va permettre à Descartes d'expliciter ses théories sur les solutions « à la règle et au compas » et « la nature des courbes planes ».

Dans ce problème il applique sa méthode :
    – supposer le problème résolu ;
    – mettre le lieu en équation ;
    – analyser l'équation (ici il montre que les solutions sont des coniques).

1. Le problème de Pappus à quatre droites

Le problème à trois ou quatre droites

Ce problème est la recherche du lieu géométrique d'un point C tel que :
    – le produit des distances de C à deux d'entre elles soit égal au produit des distances de C aux deux autres droites pour le problème avec quatre droites ;
    – le produit des distances de C à deux d'entre elles soit égal au carré du produit des distances de C à la troisième droite pour le problème avec trois droites.

Les géomètres grecs ne parlent pas du produit des distances mais des rectangles contenu par (CB, CF), d'aire égal à celui contenu par (CD, CH). C'est le lieu, dit à quatre droites, ensemble des points C tel que CB × CF = CD × CH.
S'il n'y a que trois droites, le rectangle (CB, CF) est égal au carré décrit sur CD : le lieu des points C tels que CB × CF = CD2.

Ces lieux sont un ensemble de deux coniques. Une des deux courbes a été oubliée par Descartes.

Dans la formulation de Pappus, le problème a été généralisé en supposant que les segments CB, CD, CF et CH ne sont pas perpendiculaires aux quatre droites, mais menées, à partir de C, sous des angles donnés. Ces lieux sont toujours des coniques. On peut considérer plus que quatre droites, mais alors les lieux obtenus ne sont plus des coniques.

Descartes utilise des rapports de similitude plutôt que des distances et cherche le lieu du point C dont les segments menés de ce point à chacune des droites suivant des directions données ont des produits égaux.

La Géométrie - Problème de Pappus - Page 304

la geometrie de descartes - ed. 1637 - probleme de pappus - page 304

Haut de cette page et pages précédentes, voir la première partie du livre premier

 

Exemple tiré de Pappus

Et on peut le voir aussi fort clairement de ce que Pappus a mis au commencement de son septième livre, où après s'être arrêté quelque temps à dénombrer tout ce qui avait été écrit en géométrie par ceux qui l'avaient précédé, il parle enfin d'une question qu'il dit que ni Euclide, ni Apollonius, ni aucun autre, n'avaient su entièrement résoudre ; et voici ses mots :

Je cite plutôt la version latine que le texte grec, afin que chacun l'entende plus aisément

Mais ce lieu à 3 et 4 lignes, dont Apollonius dit, à propos de son livre III, qu'Euclide ne l'a pas complètement traité, lui-même, pas plus qu'aucun autre, n'aurait pu l'achever, ni même rien ajouter à ce qu'Euclide en a écrit, du moins en s'en tenant exclusivement aux Éléments des Coniques déjà démontrés au temps d'Euclide, etc.

Et un peu après il explique ainsi quelle est cette question :

Voici quel est ce lieu à 3 et 4 lignes, à propos duquel Apollonius se décerne de grands éloges pour ses additions et dont il aurait dû savoir gré au premier qui en a écrit. Si, trois droites étant données de position, on mène d'un même point, sur ces trois droites, trois autres sous des angles donnés, et qu'on donne le rapport du rectangle compris sous deux des menées au carré de la troisième, le point se trouvera sur un lieu solide donné de position, c'est-à-dire sur l'une des trois coniques.

Si c'est sur quatre droites données de position que l'on mène des droites sous des angles donnés, et qu'on donne le rapport du rectangle de deux des menées à celui des deux autres, le point se trouvera de même sur une section conique donnée de position. D'autre part, si les droites sont seulement au nombre de deux, il est établi que le lieu est plan ; mais, s'il y a plus de quatre droites, le lieu du point n'est plus de ceux qui soient connus ; il est de ceux qu'on appelle simplement lignes (sans en savoir davantage sur leur nature ou leurs propriétés), et on n'a fait la synthèse d'aucune de ces lignes, ni montré qu'elle servît pour ces lieux, pas même pour celle qui semblerait la première et la plus indiquée.

Voici comment on propose ces lieux. (Titre du traducteur) 

Si d'un point on mène à cinq droites données de position d'autres droites sous des angles donnés, et qu'on donne le rapport entre le parallélépipède rectangle compris sous trois des menées et le parallélépipède rectangle compris sous les deux autres et sous une donnée, le point se trouvera sur une ligne donnée de position.

Si les droites données sont au nombre de six, et que l'on donne le rapport du solide compris sous trois des menées au solide compris sous les trois autres, le point se trouvera de même sur une ligne donnée de position.

S'il y a plus de six droites, on ne peut plus dire que l'on donne le rapport entre quelque objet compris sous quatre droites et le même compris sous les autres, puis qu'il n'y a rien qui soit compris sous plus de trois dimensions. Cependant, peu de temps avant nous, on s'est accordé la liberté de parler ainsi, sans rien désigner pourtant qui soit aucunement intelligible, en disant le compris sous telles droites par rapport au carré de telle droite ou au compris sous telles autres. Il était cependant aisé, au moyen des rapports composés, d'énoncer et de prouver en général les propositions précitées et celles qui suivent.

Note sur le Problème de Pappus, d'après l'édition de Fr. Hultsch Pappi Alexandrini Collectionis quœ supersunt, vol. II, Berlin, Weidmann, 1877, pp. 676-680).

Nous donnons tout d'abord le passage, visé dans ce texte, du préambule du livre I des Coniques d'Apollonius :

« Le livre III contient nombre de théorèmes remarquables, qui sont utiles pour la synthèse des lieux plans et la détermination des conditions de possibilité des problèmes. La plupart de ces théorèmes et les plus beaux sont nouveaux ; leur découverte nous a fait reconnaître qu'Euclide n'a pas effectué la synthèse du lieu à 3 et 4 lignes, mais seulement celle d'une partie de ce lieu prise au hasard, et qu'il ne s'en est même pas heureusement tiré ; c'est que, sans nos découvertes, il n'était pas possible de faire la synthèse complète. »

La Géométrie - Problème de Pappus - Page 306

la geometrie de descartes - ed. 1637 - probleme de pappus - page 306

Page 305

Où je vous prie de remarquer en passant que le scrupule que faisaient les anciens d'user des termes de l'arithmétique en la géométrie, qui ne pouvait procéder

Page 306

que de ce qu'ils ne voyaient pas assez clairement leur rapport, causait beaucoup d'obscurité et d'embarras en la façon dont ils s'expliquaient ; car Pappus poursuit en cette sorte.

« Voici comment :
Si d'un point on mène à des droites données de position d'autres droites sous des angles donnés et que l'on donne le rapport composé de celui de l'une des menées à une autre, de celui des menées d'un second couple, de celui des menées d'un troisième, enfin de celui de la dernière à une donnée, s'il y a sept droites en tout, ou bien de celui des deux dernières, s'il y en a huit, le point se trouvera sur une ligne donnée de position. »

« On pourra dire de même, quel que soit le nombre des droites, pair ou impair. Mais, comme je l'ai dit, pour aucun de ces lieux qui suivent celui à 4 droites, il n'y a eu une synthèse faite qui permette de connaître la ligne. »

La question donc qui avait été commencée à résoudre par Euclide et poursuivie par Apollonius, sans avoir été achevée par personne, était telle :
Ayant trois ou quatre, ou un plus grand nombre de lignes droites données par position (droites parallèles à une direction – position – donnée) ; premièrement on demande un point, duquel on puisse tirer autant d'autres lignes droites, une sur chacune des données, qui fassent avec elles des angles donnés, et que le rectangle (produit des distances de ce point aux deux droites) contenu en deux de celles qui seront tirées d'un même point, ait la proportion donnée avec le rectangle des deux autres s'il y en a quatre ;

ou bien, s'il y en a cinq, que le parallélépipède composé de trois ait la proportion donnée avec le parallélépipède

La Géométrie - Problème de Pappus - Page 307

la geometrie de descartes - ed. 1637 - probleme de pappus - page 307

composé des deux qui restent, et d'une autre ligne donnée ; ou s'il y en a six, que le parallélépipède composé de trois ait la proportion donnée avec le parallélépipède des trois autres ; ou s'il y en a sept, que ce qui se produit lorsqu'on en multiplie quatre l'une par l'autre, ait la raison donnée avec ce qui se produit par la multiplication des trois autres, et encore d'une autre ligne donnée ; ou s'il y en a huit, que le produit de la multiplication de quatre ait la proportion donnée avec le produit des quatre autres ; et ainsi cette question peut s'étendre à tout autre nombre de lignes.

Puis à cause qu'il y a toujours une infinité de divers points qui peuvent satisfaire à ce qui est ici demandé, il est aussi requis de connaître et de tracer la ligne dans laquelle ils doivent tous se trouver.

Et Pappus dit que lorsqu'il n'y a que trois ou quatre lignes droites données, c'est en une des trois sections coniques ; mais il n'entreprend point de la déterminer ni de la décrire, non plus que d'expliquer celles où tous ces points se doivent trouver, lorsque la question est proposée en un plus grand nombre de lignes.

Seulement il ajoute que les Anciens en avaient imaginé une qu'ils montraient y être utile, mais qui semblait la plus manifeste, et qui n'était pas toutefois la première.

Ce qui m'a donné occasion d'essayer si, par la méthode dont je me sers, on peut aller aussi loin qu'ils ont été.

Réponse à la question de Pappus

Et premièrement j'ai connu que cette question n'étant proposée qu'en trois, ou quatre, ou cinq lignes, on peut toujours trouver les points cherchés par la géométrie simple, c'est-à-dire en ne se servant que de la règle et du compas

La Géométrie - Problème de Pappus - Page 308

la geometrie de descartes - ed. 1637 - problème de Pappus - page 308

ni ne faisant autre chose que ce qui a déjà été dit ; excepté seulement lorsqu'il y a cinq lignes données, si elles sont toutes parallèles : auquel cas, comme aussi lorsque la question est proposée en 6, ou 7, ou 8, ou 9 lignes, on peut toujours trouver les points cherchés par la géométrie des solides, c'est-à-dire en y employant quelqu'une des trois sections coniques; excepté seulement lorsqu'il y a neuf lignes données, si elles sont toutes parallèles : auquel cas, derechef, et encore en 10, 11, 12 ou 13 lignes, on peut trouver les points cherchés par le moyen d'une ligne courbe qui soit d'un degré plus composée que les sections coniques; excepté en treize, si elles sont toutes parallèles : auquel cas, et en quatorze, 15, 16 et 17, il y faudra employer une ligne courbe encore d'un degré plus composée que la précédente, et ainsi à l'infini.

Puis j'ai trouvé aussi que lorsqu'il n'y a que trois ou quatre lignes données, les points cherchés se rencontrent tous, non seulement en l'une des trois sections coniques, mais quelquefois aussi en la circonférence d'un cercle ou en une ligne droite; et que lorsqu'il y en a cinq, ou six, ou sept, ou huit, tous ces points se rencontrent en quelqu'une des lignes qui sont d'un degré plus composées que les sections coniques, et il est impossible d'en imaginer aucune qui ne soit utile à cette question; mais ils peuvent aussi derechef se rencontrer en une section conique, ou en un cercle, ou en une ligne droite.

Et s'il y en a 9, ou 10, ou 11, ou 12, ces points se rencontrent en une ligne qui ne peut être que d'un degré plus composée que les précédentes; mais toutes celles

La Géométrie - Problème de Pappus - Page 309

la geometrie de descartes - ed. 1637 - problème de Pappus - Page 309

qui sont d'un degré plus composées y peuvent servir, et ainsi à l'infini.

Au reste, la première et la plus simple de toutes, après les sections coniques, est celle qu'on peut décrire par l'intersection d'une parabole et d'une ligne droite, en la façon qui sera tantôt expliquée.

En sorte que je pense avoir entièrement satisfait à ce que Pappus nous dit avoir été cherché en ceci par les anciens; et je tâcherai d'en mettre la démonstration en peu de mots, car il m'ennuie déjà d'en tant écrire.

Soient AB, AD, EF, GH, etc., plusieurs lignes données par position (droite donnée par position : droite parallèle à une direction -position- donnée) et qu'il faille trouver un point, comme C, duquel ayant tiré d'autres lignes droites sur les données, comme CB, CD, CF et CH, en sorte que les angles CBA, CDA, CFE, CHG, etc., soient donnés,

La Géométrie - Problème de Pappus - Page 310

la geometrie de descartes - ed. 1637 - probleme de pappus - page 310

et que ce qui est produit par la multiplication d'une partie de ces ligues soit égal à ce qui est produit par la multiplication des autres, ou bien qu'ils aient quelque autre proportion donnée, car cela ne rend point la question plus difficile.

Étant donné les quatre droites AB, AD, EF, GH, le problème de Pappus est de trouver le lieu géométrique des points C dont les segments (en pointillés) menés de ce point C à chacune des droites suivant des directions données ont des produits égaux,
ici CB × CF = CD × CH.

Dans le livre premier, Descartes exprime les longueurs des segments en fonction de deux inconnues x et y pour aboutir, page 312, à la conclusion du bas de ce chapitre : « les quantités x et y qui se trouvent n'auront jamais plus de deux dimensions en ce qui ne sera produit que par la multiplication de deux lignes ».

Pour la figure, ce n'est que dans le livre second qu'il fera le calcul des équations des coniques solutions.

Comment on doit poser les termes pour venir à l'équation en cet exemple.

Premièrement, je suppose la chose comme déjà faite, et pour me démêler de la confusion de toutes ces lignes je considère l'une des données, et l'une de celles qu'il faut trouver, par exemple AB et CE, comme les principales et auxquelles je tâche de rapporter ainsi toutes les autres.

Texte fondamental, où Descartes introduit, tout naturellement, les coordonnées x et y.

Descartes n'a pas bien compris l'importance de son invention, malgré tout ces coordonnées seront qualifiées de cartésiennes.

x = AB et y = BC sont les coordonnées dans un repère d'origine A, d'axes (AG) et la parallèle à RB.

Que le segment de la ligne AB, qui est entre les points A et B, soit nommé x ; et que BC soit nommé y ; et que toutes les autres lignes données soient prolongées jusqu'à ce qu'elles coupent ces deux aussi prolongées, s'il est besoin, et si elles ne leur sont point parallèles ; comme vous voyez ici qu'elles coupent la ligne AB aux points A, E, G, et BC aux points R, S, T.

Puis à cause que tous les angles du triangle ARB sont donnés, la proportion qui est entre les côtés AB et BR est aussi donnée, et je la pose comme de z à b, de façon que AB étant x, RB sera bx/z, et la toute CR sera y + bx/z à cause que le point B tombe entre C et R ; car si R tombait entre C et B, CR serait y - bx/z ; et si C tombait entre B et R, CR serait -y + bx/z.

Tout de même les trois angles du triangle DRC sont donnés, et par conséquent aussi la proportion qui est entre les côtés CR et CD, que je pose comme de z à c, de façon que CR étant y + bx/z,

La Géométrie - Problème de Pappus - Page 311

la geometrie de descartes - ed. 1637 - probleme de pappus - page 311

CD sera cy/z + bcx/z².

Après cela, pourceque (locution synonyme de parce que, utilisée par Descartes pour marquer la raison, la cause) les lignes AB, AD et EF sont données par position, la distance qui est entre les points A et E est aussi donnée, et si on la nomme k, on aura EB égal à k + x ; mais ce serait k – x si le point B tombait entre E et A ; et – k + x si E tombait entre A et B.

Et pourceque les angles du triangle ESB sont tous donnés, la proportion de BE à BS est aussi donnée, et je la pose comme de z à d, si bien que BS est (dk+dx)/z, et la toute CS est (zy+dk+dx)/z ; mais ce serait (zy-dk-dx)/z si le point S tombait entre B et C ; et ce serait (-zy+dk+dx)/z si C tombait entre B et S.

De plus, les trois angles du triangle FSC sont donnés, et ensuite la

Problème de Pappus - La Géométrie - Page 312

la geometrie de descartes - ed. 1637 - probleme de pappus - page 312

proportion de CS à CF, qui soit comme de z à e, et la toute CF sera (ezy+dek=dex)/z².

En même façon AG, que je nomme l, est donnée, et BG est l – x et à cause du triangle BGT, la proportion de BG à BT est aussi donnée, qui soit comme de z à f, et BT sera (fl-fx)/z, et CT = (zy+fl-fx)/z.
Puis derechef la proportion de CT à CH est donnée à cause du triangle TCH, et la posant comme de z à g,
on aura CH = g(zy+fl-fx)/z².

Et ainsi vous voyez qu'en tel nombre de lignes données par position qu'on puisse avoir toutes les lignes tirées dessus du point C à angles donnés, suivant la teneur de la question, se peuvent toujours exprimer chacune par trois termes, dont l'un est composé de la quantité inconnue y, multipliée ou divisée par quelque autre connue ; et l'autre de la quantité inconnue x, aussi multipliée ou divisée par quelque autre connue ; et le troisième d'une quantité toute connue ; excepté seulement si elles sont parallèles, ou bien à la ligne AB, auquel cas le terme composé de la quantité x sera nul ; ou bien à la ligne CB, auquel cas celui qui est composé de la quantité y sera nul ; ainsi qu'il est trop manifeste pour que je m'arrête à l'expliquer.

Et pour les signes + et – qui se joignent à ces termes, ils peuvent être changés en toutes les façons imaginables.

Puis vous voyez aussi que, multipliant plusieurs de ces lignes l'une par l'autre, les quantités x et y qui se trouvent dans le produit n'y peuvent avoir que chacune autant de dimensions, qu'il y a eu de lignes, à l'explication

La Géométrie - Problème de Pappus - Page 313

la geometrie de descartes - ed. 1637 - probleme de pappus - page 313

desquelles elles servent, qui ont été ainsi multipliées ; en sorte qu'elles n'auront jamais plus de deux dimensions en ce qui ne sera produit que par la multiplication de deux lignes ; ni plus de trois, en ce qui ne sera produit que pair la multiplication de trois, et ainsi à l'infini.

Comment on trouve que ce problème est plan lorsqu'il n'est point proposé en plus de cinq lignes

De plus, à cause que pour déterminer le point C, il n'y a qu'une seule condition qui soit requise, à savoir que ce qui est produit par la multiplication d'un certain nombre de ces lignes soit égal, ou, ce qui n'est de rien plus malaisé, ait la proportion donnée à ce qui est produit par la multiplication des autres ;

on peut prendre à discrétion l'une des deux quantités inconnues x ou y, et chercher l'autre par cette équation, en laquelle il est évident que, lorsque la question n'est point posée en plus de cinq lignes, la quantité x, qui ne sert point à l'expression de la première, peut toujours n'y avoir que deux dimensions ; de façon que, prenant une quantité connue pour y, il ne restera que x2 = + ou – ax + ou – b2 ; et ainsi on pourra trouver la quantité x avec la règle et le compas, en la façon tantôt expliquée.

Une des découvertes fondamentales de Descartes, et vraiment novatrice : la notion de fonction :

Même, prenant successivement infinies diverses grandeurs pour la ligne y, on en trouvera aussi infinies pour la ligne x, et ainsi on aura une infinité de divers points, tels que celui qui est marqué C, par le moyen desquels on décrira la ligne courbe demandée.

Il se peut faire aussi, la question étant proposée en six ou plus grand nombre de lignes, s'il y en a entre les données qui soient parallèles à BA ou BC, que l'une des deux quantités x ou y n'ait que deux dimensions en

La Géométrie - Problème de Pappus - Page 314

la geometrie de descartes - ed. 1637 - probleme de pappus - page 314

l'équation, et ainsi qu'on puisse trouver le point C avec la règle et le compas.

Mais au contraire si elles sont toutes parallèles, encore que la question ne soit proposée qu'en cinq lignes, ce point C ne pourra ainsi être trouvé, à cause que la quantité x ne se trouvant point en toute l'équation, il ne sera plus permis de prendre une quantité connue pour celle qui est nommée y, mais ce sera celle qu'il faudra chercher.

Et pourcequ'elle aura trois dimensions, on ne le pourra trouver qu'en tirant la racine d'une équation cubique, ce qui ne se peut généralement faire sans qu'on y emploie pour le moins une section conique.

Et encore qu'il y ait jusqu'à neuf lignes données, pourvu qu'elles ne soient point toutes parallèles, on peut toujours faire que l'équation ne monte que jusqu'au carré de carré ; au moyen de quoi on la peut aussi toujours résoudre par les sections coniques, en la façon que j'expliquerai ci-après.

Et encore qu'il y en ait jusqu'à treize, on peut toujours faire qu'elle ne monte que jusqu'au carré de cube ; ensuite de quoi on la peut résoudre par le moyen d'une ligne, qui n'est que d'un degré plus composé que les sections coniques, en la façon que j'expliquerai aussi ci-après (le raisonnement peut être continué indéfiniment : chaque fois que l'on rajoute deux lignes droites, l'équation est d'un degré de plus et la courbe devient d'autant plus complexe).

Et ceci est la première partie de ce que j'avais ici à démontrer ; mais avant que je passe à la seconde, il est besoin que je dise quelque chose en général de la nature des lignes courbes.

La question de Pappus

Suite de l'explication de la question de Pappus mise au livre précédent (page 307)

Problème de Pappus - La Géométrie - Page 324

la geometrie de descartes - ed. 1637 - probleme de pappus - page 324

Bas de la page 323

Or, après avoir ainsi réduit toutes les lignes courbes à certains genres, il m'est aisé de poursuivre en la démonstration de la réponse que j'ai tantôt faite à la question de Pappus. Car premièrement, ayant fait voir ci-dessus,

page 324

que, lorsqu'il n'y a que trois ou quatre lignes droites données, l'équation qui sert à déterminer les points cherchés ne monte que jusqu'au carré, il est évident que la ligne courbe où se trouvent ces points est nécessairement quelqu'une de celles du premier genre, à cause que cette même équation explique le rapport qu'ont tous les points des lignes du premier genre à ceux d'une ligne droite.

Et que lorsqu'il n'y a point plus de huit lignes droites données, cette équation ne monte que jusqu'au carré de carré tout au plus, et que par conséquent la ligne cherchée ne peut être que du second genre, ou au-dessous.

Et que lorsqu'il n'y a point plus de douze lignes données, l'équation ne monte que jusqu'au carré de cube, et que par conséquent la ligne cherchée n'est que du troisième genre, ou au-dessous, et ainsi des autres.

Et même à cause que la position des lignes droites données peut varier en toutes sortes, et par conséquent faire changer tant les quantités connues que les signes + et – de l'équation, en toutes les façons imaginables, il est évident qu'il n'y a aucune ligne courbe du premier genre qui ne soit utile à cette question, quand elle est proposée en quatre lignes droites ; ni aucune du second qui n'y soit utile, quand elle est proposée en huit ; ni du troisième, quand elle est proposée en douze ; et ainsi des autres.

En sorte qu'il n'y a pas une ligne courbe qui tombe sous le calcul et puisse être reçue en géométrie, qui n'y soit utile pour quelque nombre de lignes.

Solution de cette question quand elle n'est proposée qu'en trois ou quatre lignes

Mais il faut ici plus particulièrement que je détermine et donne la façon de trouver la ligne cherchée qui sert en chaque cas, lorsqu'il n'y a que trois ou quatre lignes droites

La Géométrie - Cercle solution du problème de Pappus - Page 325

la geometrie de descartes - ed. 1637 - cercle solution du probleme de pappus - page 325

données ; et on verra, par même moyen que le premier genre des lignes courbes n'en contient aucunes autres, que les trois sections coniques et le cercle.

Reprenons les quatre lignes AB, AD, EF et GH données ci-dessus (page 309) et qu'il faille trouver une autre ligne, en laquelle il se rencontre une infinité de points tels que C, duquel ayant tiré les 4 lignes CB, CD, CF, et CH, à angles donnés, sur les données, CB multipliée par CF, produit une somme égale à CD, multipliée par CH.

C'est-à-dire ayant fait CB = y,
CD = cy/z + bcx/z². (page 311)


CF = (ezy+dek=dex)/z² et CH = g(zy+fl-fx)/z² l'équation est

fromule y2

Les termes contenus entre deux parenthèses sont placés l'un sous l'autre :

fromule y2

La Géométrie - Problème de Pappus - Page 326

la geometrie de descartes - ed. 1637 - probleme de pappus - page 326

au moins en supposant ez plus grand que eg car s'il était moindre, il faudrait changer tous les signes + et –. Et si la quantité se trouvait nulle, ou moindre que rien en cette équation, lorsqu'on a supposé le point C en l'angle DAG, il faudrait le supposer aussi en l'angle DAE, ou EAR, ou RAG, en changeant les signes + et – selon qu'il serait requis à cet effet. Et si en toutes ces 4 positions la valeur de y se trouvait nulle, la question serait impossible au cas proposé.

Mais supposons-la ici être possible, et pour en abréger les termes,
au lieu des quantités frac1, écrivons 2m,
et au lieu de fract2, écrivons \frac {2n}{z},
et ainsi nous aurons
y2 = 2my - \frac {2n}{z} xy +\frac {bcflgx -bcfgx^2}{ez^3 - cgz^2} dont la racine (Descartes mentionne une seule racine, l'autre racine donne un autre lieu symétrique)
est
m - ….

et derechef pour abréger,
au lieu de - \frac{2mnx}{z}+ \frac{bcflg}{ez^3 - cgz^2}, écrivons o ;

et au lieu de \frac{n^2}{z^2} - \frac{bcfg}{ez^3 - cgz^2}écrivons p/m (ez3 signalé dans l'errata),
car ces quantités étant toutes données, nous les pouvons nommer comme il nous plaît et ainsi nous avons

y = m -\frac n{z} x + \sqrt {m^2+ox +\frac {p}{m} x^2} ,

(Équation de la conique. Le signe du coefficient de x2, positif, a été rectifié)

qui doit être la longueur de la ligne BC, en laissant AB, ou x indéterminée.

La Géométrie - Cercle solution du problème de Pappus - Page 327

la geometrie de descartes - ed. 1637 - cercle solution du probleme de pappus - page 327

Et il est évident que la question n'étant proposée qu'en trois ou quatre lignes, on peut toujours avoir de tels termes, excepté que quelques-uns d'eux peuvent être nuls, et que les signes + et – peuvent diversement être changés.

Après cela je fais KI égale et parallèle à BA, en sorte qu'elle coupe de BC la partie BK égale à m, à cause qu'il y a ici +m ; et je l'aurais ajoutée en tirant cette ligne IK de l'autre côté, s'il aurait eu – m ; et je ne l'aurais point du tout tirée, si la quantité m eut été nulle.

Puis je tire aussi IL, en sorte que la ligne IK est à KL, comme z est à n.

C'est-à-dire que IK étant x, KL est frac n{z}x.

Et par même moyen, je connais aussi la proportion

La Géométrie - Problème de Pappus - Page 328

la geometrie de descartes - ed. 1637 - probleme de pappus - page 328

qui est entre KL, et IL, que je pose comme entre n et a :
si bien que KL étant frac n{z}x, IL est frac{a}{z}x.

Et je fais que le point K soit entre L et C, à cause qu'il y a ici – frac n{z}x ; au lieu que j'aurais mis L entre K et C, si j'eusse eu + frac n{z}x ; et je n'eusse point tiré cette ligne IL, si frac n{z}x eût été nulle.

Or cela fait, il ne me reste plus pour la ligne LC, que ces termes

LC = \sqrt{m^2 + ox +\frac{p}{m}x^2}

d'où je vois que s'ils étaient nuls, ce point C se trouverait en la ligne droite IL ; et que s'ils étaient tels que la racine s'en pût tirer, c'est-à-dire que m2 et frac{p}{m}x^2 étant marqués d'un même signe + ou – (signes – supprimés par Schooten dans l'édition de 1659), o2 fût égal à 4pm, ou bien que les termes m2 et ox, ou ox et frac n{z}x fussent nuls, ce point C se trouverait en une autre ligne droite qui ne serait pas plus malaisée à trouver que IL.

Mais lorsque cela n'est pas, ce point C est toujours en l'une des trois sections coniques, ou en un cercle, dont l'un des diamètres est en la ligne IL, et la ligne LC est l'une de celles qui s'appliquent par ordre (perpendiculairement à l'axe ; d'où le mot ordonnée) à ce diamètre ; ou au contraire LC est parallèle au diamètre, auquel celle qui est en la ligne IL est appliquée par ordre (ce second cas est celui où IL, ne rencontrant pas la conique, n'était pas alors considérée comme un diamètre).

À savoir si le terme frac n{z}x est nul cette section conique est une Parabole ; et s'il est marqué du signe +, c'est une Hyperbole, et enfin s'il est marqué du signe –, c'est une Ellipse.

Excepté seulement si la quantité a2m est égale à pz2, et que l'angle ILC soit droit ; auquel cas on a un cercle au lieu

La Géométrie - Cercle solution du problème de Pappus - Page 329

la geometrie de descartes - ed. 1637 - cercle solution du probleme de pappus - figure 9 - page 329

d'une Ellipse.

Que si cette section est une Parabole, son côté droit est égal à \frac{oz}{a}, et son diamètre et toujours en la ligne IL, et pour trouver le point N, qui en est le sommet, il saut faire IN égale à \frac{am^2}{oz} ; et que le point I soit entre L et N, si les termes sont +m2 + ox ; ou bien que le point L, soit entre I et N, s'ils sont +m2ox ; ou bien il faudrait que N fût entré I et L, s'il y avait – m2 + ox.

Mais il ne peut jamais y avoir – m2, en la façon que les termes ont ici été posés.

Et enfin le point N serait le même que le point I si la quantité m2 était nulle.

Au moyen de quoi il est aisé de trouver cette Parabole par le premier Problème du premier livre d'Apollonius.

La Géométrie - Problème de Pappus - Page 330

la geometrie de descartes - ed. 1637 - probleme de pappus - page 330

Que si la ligne demandée est un cercle, ou une ellipse, ou une hyperbole, il faut premièrement chercher le point M, qui en est le centre, et qui est toujours en la ligne droite IL, ou on le trouve en prenant aom/2pz pour IM en sorte que si la quantité o est nulle, ce centre est justement au point I.

Et si la ligne cherchée est un cercle, ou une Ellipse, on doit prendre le point M du même côté que le point L, au respect du point I, lorsqu'on a +ox ; et lorsqu'on a –ox, on le doit prendre de l'autre.

Mais tout au contraire en l'hyperbole, si on a – ox, ce centre M doit être vers L ; et si on a +ox, il doit être de l'autre côté.

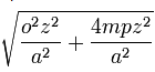
Après cela le côté droit de la figure doit être

\sqrt{\frac{o^2z^2}{a^2} + \frac{4mpz^2}{a^2}}

lorsqu'on a +m2, et que la ligne cherchée est un cercle, ou une Ellipse ;

ou bien lorsqu'on a – m2, et que c'est une Hyperbole, et il doit être

\sqrt{\frac{o^2z^2}{a^2} - \frac{4mpz^2}{a^2}}

si la ligne cherchée étant un cercle, ou une Ellipse, on a – m2 ; ou bien si étant une Hyperbole et la quantité o2 étant plus grande que 4mp, on a +m2.

Que si la quantité m2 est nulle, ce côté droit est \frac{oz}{a} et si oz (lire oz et non ox) est nulle, il est \frac{4mpz^2}{a^2}.

Puis pour le côté traversant, il faut trouver une ligne qui sera ce côté droit, comme a2m est à pz2 ;

à savoir si ce côté droit est \sqrt{\frac{o^2z^2}{a^2} + \frac{4mpz^2}{a^2}}

le traversant est \sqrt{\frac{a^2o^2m^2}{p^2z^2} + \frac{4a^2m^3}{pz^2}}

Et en tous ces cas le diamètre de la section et en la ligne IM, et LC et l'une de celles qui lui est (sont) appliquée(s) par ordre.

Si bien que faisant MN égale a la moitié du côté

La Géométrie - Hyperbole solution - Page 331

la geometrie de descartes - ed. 1637 - hyperbole solution du problème de Pappus - figure 9 - page 331

traversant et le prenant du même côté du point M, qu'est le point L, on a le point N pour le sommet de ce diamètre ; ensuite de quoi il est aisé de trouver la section par les second et troisième problèmes du premier livre d'Apollonius.

Mais quand cette section étant une Hyperbole, on a +m2 ; et que la quantité o2 et nulle ou plus petite que 4pm, on doit tirer du centre M la ligne MOP parallèle à LC, et CP parallèle à LM, et faire MO égale à

\sqrt{m^2 - \frac{o^2m}{4p}} ;

ou bien la faire égale à m si la quantité ox est nulle.

La conique passe par A et G. Cette figure est celle de la page 329. Le cercle CAG a été effacé et est remplacé par le tracé à la main levée d'une hyperbole qui est loin de contenir les points A et G.

Puis considérer le point O, comme le sommet de cette Hyperbole ; dont le diamètre et OP, et CP la

La Géométrie - Problème de Pappus - Page 332

la geometrie de descartes - ed. 1637 - probleme de pappus - page 332

ligne qui lui est appliquée par ordre, et son côté droit est

\sqrt{\frac{4a^4m^4}{p^2z^4} - \frac{a^4o^2m^3}{p^3z^4}}

et son côté traversant est sqrt{4m^2 - \frac{o^2m}{p}}

Excepté quand ox est nulle, car alors le côté droit est \frac{2a^2m^2}{pz^2},
et le traversant est 2m ; et ainsi il est aisé de la trouver par le troisième problème du premier livre d'Apollonius.

Démonstration de tout ce qui vient d'être expliqué

Et les démonstrations de tout ceci sont évidentes, car composant un espace des quantités que j'ai assignées pour le côté droit, et le traversant, et pour le segment du diamètre NL, ou OP, suivant la teneur du 11e, du 12e et du 13e théorèmes du premier livre d'Apollonius, on trouvera tous les mêmes termes dont est composé le carré de la ligne CP, ou CL, qui est appliquée par ordre à ce diamètre.

Cas de l'ellipse :

Comme en cet exemple,

ôtant IM qui est \frac{aom}{2pz},
de NM qui est \frac{am}{2pz}\sqrt{o^2 + 4mp} ,

j'ai IN, à laquelle ajoutant IL, qui est \frac{a}{z} x,


j'ai NL qui est \frac{a}{z} x - \frac{aom}{2pz} +\frac{am}{2pz}\sqrt{o^2 + 4mp}

et ceci étant multiplié par \frac{z}{a}\sqrt{o^2 + 4mp}, qui est le côté droit de la figure,
il vient x\sqrt{o^2 + 4mp}-\frac{om}{2p}\sqrt{o^2 + 4mp}+\frac{mo^2}{2p} +2m^2,
pour le rectangle, duquel il faut ôter un espace qui soit au carré de NL comme le côté droit est au traversant, et ce carré de NL est

\frac{a^2}{z^2} x^2 - \frac{a^2om}{pz^2} x

La fin de la formule est sur la page suivante

qu'il faut diviser par a2m et multiplier par pz2, à cause que ces termes expliquent la proportion qui est entre le côté traversant et le droit, et il vient

\frac{p}{m}x^2-ox+x\sqrt{o^2+4mp}+\frac{o^2m}{2p}-\frac{om}{2p}\sqrt{o^2+4mp}+m^2,

La Géométrie - Problème de Pappus - Page 333

la geometrie de descartes - ed. 1637 - probleme de pappus - page 333

ce qu'il faut ôter du rectangle précédent, et on trouve

m^2 + ox -\frac{p}{m}x^2

pour le carré de CL, qui par conséquent et une ligne appliquée par ordre dans une Ellipse, ou dans un cercle, au segment du diamètre NL.

Et si on veut expliquer toutes les quantités données par nombres,
en faisant par exemple EA = 3, AG = 5, AB = BR, BS = 1/2 BE,
GB = BT, CD = 3/2CR, CF = 2CS, CH = 2/3 CT,
et que l'angle ABR soit de 60 degrés ; et enfin que le rectangle des deux CB, et CF, soit égal au rectangle des deux autres CD et CH ; car il faut avoir toutes ces choses afin que la question soit entièrement déterminée, et avec cela supposant AB = x et CB = y, on trouve par la façon ci-dessus expliquée

y2 = 2y – xy + 5x – x2


et y = 1 - \frac 12 x + \sqrt{1 + 4x -\frac 34 x^2} ,

si bien que BK doit être 1, et KL doit être la moitié de KI, et pourceque l'angle IKL ou ABR est de 60 degrés, et KIL qui est la moitié de KIB ou IKL, de 30, ILK est droit.

Et pourceque IK ou AB est nommé x, KL est 1/2 x, et IL est xsqrt{\frac 34}, et la quantité qui était tantôt nommée z est 1, celle qui était a est sqrt{\frac 34}, celle qui était m est 1, celle qui était o est 4, et celle qui était p est 3/4, de façon qu'on a \sqrt{\frac {16}{3}}

Conclusion de Descartes

La Géométrie - Cercle solution - Page 334

la geometrie de descartes - ed. 1637 - cercle solution du probleme de pappus - page 334

pour IM, et \sqrt{\frac {19}{3}} pour NM, et pourceque a2m qui est 3/4 est ici égal à pz2 (condition : la quantité a2m est égale à pz2 du bas la page 328) et que l'angle ILC est droit, on trouve que la ligne courbe NC est un cercle.

Le cercle passe par les points A, G et par le point d'intersection des droites (FS) et (DR).

Et on peut examiner facilement examiner tous les autres cas de la sorte (voir ci-dessous).

 

Quels sont les lieux plans et solides, et la façon de les trouver.

Au reste, à cause que les équations qui ne montent que jusqu'au carré sont toutes comprises en ce que je viens d'expliquer ; non seulement le problème des Anciens en trois et quatre lignes est ici entièrement achevé, mais aussi tout ce qui appartient à ce qu'ils nommaient la composition des lieux solides, et par conséquent aussi à celle des lieux plans, à cause qu'ils sont compris dans les solides, car ces lieux ne sont autre chose, sinon que, lorsqu'il est question de trouver quelque point auquel il

La Géométrie - Problème de Pappus - Page 335

la geometrie de descartes - ed. 1637 - probleme de pappus - page 335

manque une condition pour être entièrement déterminé, ainsi qu'il arrive en cet exemple, tous les points d'une même ligne peuvent être pris pour celui qui est demandé.

Et si cette ligne est droite, ou circulaire, on la nomme un lieu plan.

Mais si c'est une parabole, une hyperbole, ou une ellipse, on la nomme lieu solide.

Et toutefois et quand cela est, on peut venir à une équation qui contient deux quantités inconnues, et est pareille à quelques-unes de celles que je viens de résoudre.

Que si la ligne qui détermine ainsi le point cherché est d'un degré plus composée que les sections coniques, on la peut nommer, en même façon, un lieu sursolide (puissance 5), et ainsi des autres.

Et s'il manque deux conditions à la détermination de ce point, le lieu où il se trouve est une superficie, laquelle peut être tout de même ou plate, ou sphérique, ou plus composée.

Mais le plus haut but qu'aient eu les anciens en cette matière a été de parvenir à la composition des lieux solides ; et il semble que tout ce qu'Apollonius a écrit des sections coniques n'a été qu'à dessein de la chercher.

De plus, on voit ici que ce que j'ai pris pour le premier genre des lignes courbes n'en peut comprendre aucune autre que le cercle, la parabole, l'hyperbole et l'ellipse, qui est tout ce que j'avais entrepris de prouver.

 

Suite et pages suivantes, voir : lieu à cinq droites

2. Géométrie cartésienne - repère

Un lieu de Pappus « à quatre droites » est l'ensemble des points C tel que CB × CF = CD × CH.
En liaison avec la notion moderne de « distance d'un point à une droite donnée par son équation », Descartes calcule CB = y, CF = ax + by + c, CD = dx + ey et CH = fx + gy + h.
La relation donne une équation du second degré y × (ax + by + c) = (dx + ey) × (fx + gy + h) qui est celle d'une conique.

(Voir la note sur le Problème de Pappus de Paul Tannery.)

Utiliser un repère d'origine A, l'axe des abscisses étant la droite horizontale (AG) ; l'axe des ordonnées dans la direction (BC) faisant un angle de 60° avec l'horizontale, orienté vers le bas.

Sur la droite horizontale G est placé à 5 cm : l = AG = 5 et E à 3 cm : k = EA = 3.
Le point variable C est repéré par ses coordonnées x et y telles que AB = x et CB = y.
Les paramètres b à g indiquent les proportions des côtés des triangles déterminés par les angles de la figure.

Par exemple, dans le triangle ARB on a AB/BR = z/b d'où BR/AB = b/z. La variable z est introduite, pour respecter la règle des homogènes de Viète.
Dans les calculs, s'en affranchir en choisissant z = 1. Dans les exemples choisir un triangle où b = 1.

La droite (ES) fait un angle de 30° avec l'horizontale : on a d = d = BS/BE = 1/2 = 1/2.
Dans l'autre sens, la droite (GT) fait un angle de 30° avec l'horizontale : le triangle BGT a donc deux angles de 30°. Soit le paramètre f = BT/BG = 1.

Cas général

la geometrie de descartes - ed. 1637 - repere de base du probleme de pappus - copyright Patrice Debart 2002

Les figures seront faites avec les valeurs par défaut des paramètres suivantes :
z = 1 ; b = 1 ; d = 1/2 ; f = 1 ; k = 3 et l = 5.

Les calculs des longueurs en fonction des coordonnées x et y sont donc :
CB = y,
CF = e CS = e(y + dk + dx) = e(y + 3/2 + x/2),
CD = c CR = c (y + bx) = c (y + x),
CH= g CT = g (y + fl fx) = g (y + 5 – x).

De l'égalité CB × CF = CD × CH se déduit l'équation :
e y (y + 3/2 + x/2) = c g (y + x) (y + 5 – x).

On trouve bien l'équation du second degré d'une conique :

cg x2 + e/2 xy + (e – cg) y2 – 5 cg x + (3/2e – 5 cg) y = 0.

Descartes trouve l'équation fonctionnelle y = m – n/z x + rac(m² + ox+ px²/m).
Dans son repère, y est égal à BC ; longueur qu'il décompose en trois parties BK, KL et LC : il place sur (BC) les points K tel que BK = m et L tel que KL = nx, LC est alors égal à rac(m² + ox+ px²/m).

Il complète la construction avec IK parallèle et égal à AB.

Le paramètre a est défini par la proportion KL/IL = n/a, soit IL = ax.

Si la conique n'est pas une parabole, son centre M est situé sur la droite (IL) tel que : IM = aom/(2p).
La droite (IL) coupe la conique en N.

La moitié du rayon traversant est alors MN = am/(2p)rac(o²+4mp).

L'excentricité est égale à e²/16cg(e – cg). Si elle positive il s'agit d'une hyperbole, si elle nulle d'une parabole et enfin d'une ellipse si elle est négative.

Nouveaux repères

la geometrie de descartes - ed. 1637 - changement de repere du probleme de pappus - copyright Patrice Debart 2002

Le point C(x, y) de coordonnées x et y, dans le repère de Descartes, est tel que vec(AC) = x vec(i) + yvec(j)

Dans un repère orthonormé direct d'origine A ce même point C(X, Y) de nouvelles coordonnées X et Y vérifie la relation vec(AC) = X vec(i) + Yvec(J)
avec vec(j) = 1/2 vec(i)rac(3)/2 vec(J),
d'où vec(J) = 1/rac(3) vec(i)2/rac(3) vec(j).

Les expressions du vecteur vec(AC) sont dans l'ancien et le nouveau repère :
vec(AC) = x vec(i) + y vec(j) = x vec(i) + y(1/2 vec(i)rac(3)/2 vec(J)) = (x + 1/2 y) vec(i)rac(3)/2 vec(J),
vec(AC) = X vec(i) + Yvec(J)= X vec(i) + Y(1/rac(3) vec(i)2/rac(3) vec(j)) = (X + 1/rac(3) Y) vec(i)2/rac(3) Y vec(j).

En identifiant les coordonnées, on obtient le changement de variable :
x=X+Y/rac(3); y= (2/rac(3))Y.

L'équation de la conique, dans le repère orthonormé direct d'origine A, est  :

cg X2 + (2cg-e)/rac(3) XY + (e –cg) Y2 – 5 cg X + (5 cg – 3e) Y/rac(3) = 0.

Cette conique passe par les quatre points A, G, P et Q d'intersection des droites données.
Pur les points P et Q, les coordonnées P(7/3, -8/3) et Q(3, – 3), dans le repère oblique, s'écrivent P(1, 4rac(3)/3) et Q(3/2, 3rac(3)/2) dans le repère orthonormé.

g2w Télécharger la figure GéoPlan pap_rep.g2w

Axes principaux

Un deuxième changement de repère permet d'obtenir l'équation par rapport aux directions principales.

Les deux axes AX’ et AY’ de la conique forment le repère (A, vect(I)’, vec(J)’), faisant un angle α avec les axes AX et AY du repère précédent.

Les directions de la conique sont donc :
vect(I)’ = vec(i) cos α + vec(J)sin α,
vec(J)’ = − vec(i) sin α + vec(J) cos α.

Les expressions du vecteur vec(AC) sont dans les repères orthonormés :
vec(AC) = X vec(i) + Yvec(J)
vec(AC) = X’vect(I)’ + Y’vec(J)’ = X’(vec(i) cos α + vec(J) sin α) + Y’(– vec(i) sin α + vec(J) cos α)

Par identification, on trouve :
X = X'cos α - Y' sin α ; Y= X' sin α + Y' cos α.

Les axes sont les directions principales si le coefficient du produit X’Y’ est nul.

Les termes de second degré sont : cg X2 + (2cg-e)/rac(3) XY + (e – cg) Y2.

Avec les nouvelles variables on a alors :
cg (X’ cos α – Y’ sin α)2 + (2cg-e)/rac(3) (X’cos α – Y’ sin α)(X’ sin α + Y’ cos α) + (e – cg) (X’ sin α + Y’ cos α)2

Le coefficient de X’Y’ est :
– 2cg cos α sin α + (2cg-e)/rac(3) (cos2α – sin2α) + (e – cg) sin α cos α =
(2cg-e)/rac(3)(cos2 α – sin2α – 2 rac(3) sin α cos α) = (2cg-e)/(rac(3) cos²α)(1 – tan2α – 2 rac(3) tan α).

Ce coefficient est nul si tan α est égal à 2 – rac(3) ou à – 2 – rac(3), ce qui correspond à des angles de 15° et de –75°.

Choisir α = 15°. Le calcul des fonctions trigonométriques permet d'obtenir le changement de variable :

X = X'cos α - Y' sin α ; Y= X' sin α + Y' cos α

3. Cercle solution du problème de Pappus

la geometrie de descartes - ed. 1637 - cercle solution du probleme de pappus - copyright Patrice Debart 2002

GeoGebra Figure interactive dans GeoGebraTube : cercle solution du problème de Pappus

      Voir aussi : solution du problème de Pappus « à quatre droites » avec GeoGebra

En plus des valeurs par défaut z = 1 ; b = 1 ; d = 1/2 ;  f = 1 ; k = 3 et l = 5, prendre comme exemple les paramètres c = 3/2, e = 2 et g = 2/3.

On a alors CF = e, CS = 2(y + 3/2 + x/2) = 2y + 3 + x et c g = 1,
l'égalité CB × CF = CD × CH donne : y(2y + 3 + x) = (y + x) (y + 5 – x).

d'où l'équation x2 + xy + y2 – 5x – 2y = 0.

y2 + xy – 2y est le début du carré de (y + 1/2 x – 1).

Le développement d'identité remarquable, par la méthode de complétion du carré, permet d'écrire l'équation sous la forme : (y + 1/2 x – 1)2 + 3/4 x2 – 4x – 1 = 0.

D'où (y + 1/2 x – 1)2 = − 3/4 x2 + 4x + 1

y + 1/2 x – 1 = ± rac(-3/4 x² + 4x + 1).

On a finalement l'expression fonctionnelle de Descartes :
y = 1 – 1/2 x± rac(-3/4 x² + 4x + 1)

Par identification on a les quatre paramètres m = 1, o = 4, p = 3/4 et n = 1/2.

la geometrie de descartes - ed. 1637 - cercle solution du probleme de pappus - figure 9

Descartes place sur (BC) les points K tel que BK = m = 1 et L tel que KL = nx = 1/2 x, puis IK parallèle et égal à AB.

Le triangle ILK est rectangle avec un angle de 30°. n en est le sinus égal à 1/2 ; le cosinus est donc a = rac(3/4) = rac(3)/2.

On trouve IM = aom/(2p) = rac(16/3) et le rayon MN = (aom/(2p))rac(o² + 4mp) = rac(19/3).

Dans le repère orthonormé, le changement de coordonnées donne l'équation :
X2 + Y2 – 5Xrac(3)/3 Y = 0
qui est bien l'équation du cercle de centre M(5/2, rac(3)/6) et de rayon rac(19/3).

4. Ellipse

la geometrie de descartes - ed. 1637 - ellipse solution du probleme de pappus - copyright Patrice Debart 2002

Comme Descartes le propose : « et on peut facilement examiner tous les autres cas en même sorte ».

GeoGebra Figure interactive dans GeoGebraTube : problème de Pappus 
   Voir aussi : coniques solutions du problème de Pappus « à quatre droites » avec GeoGebra

Démonstrations de Descartes

la geometrie de descartes - ed. 1637 - fausse hypebole de pappus

Gardons les mêmes paramètres initiaux que pour le cercle :
valeurs par défaut z = 1 ; b = 1 ; d = 1/2 ;  f = 1 ; k = 3 et l = 5,

paramètres c = 3/2, e = 2 et modifions g = 1.

On a alors : CF = e CS = 2(y + 3/2 + x/2) = 2y + 3 + x,
l'égalité CB × CF = CD × CH donne : y (2y + 3 + x) = 3/2(y + x) (y + 5 – x).

D'où en multipliant par 2 l'équation : 3x2 + 2xy + y2 – 15x – 9y = 0.
y2 + 2xy – 9y est le début du carré de (y + x9/2).

L'équation peut alors s'écrire : (y + x9/2)2 + 2x2 – 6x81/4 = 0.

d'où l'expression y = 9/2x ± rac(81/4 + 6x - 2x²).

Par identification on a les quatre paramètres : m = 9/2, o = 6, p = 9 et n = 1.

Placer sur (BC) les points K tel que BK = m = 9/2 et L tel que KL = nx = x, puis tracer le segment IK parallèle et égal à AB.

Le triangle ILK est ici équilatéral et le paramètre a est égal à 1.

Le centre M de l'ellipse est situé sur la droite (IL) tel que IM = aom/(2p) = 3/2.

La droite (IL) coupe la conique en N et N’.

La moitié du rayon traversant est alors MN = (aom/(2p))rac(o² + 4mp) = 3rac(22)/4.

Dans le repère orthonormé, le changement de variables donne l'équation :

3X2 + 2 rac(3)/3 XY + Y2 – 15X + rac(3) Y = 0.

On trouve alors (Y + rac(3)/3X + rac(3)/2)2 + 8/3 x² - 16 x - 3/4 = 0,
d'où les équations Y = − rac(3)/3Xrac(3)/2 ± rac(8/3 x² + 16 x + 3/4).

Dans ce repère les coordonnées de M et I sont M(3, – 2rac(3)/3) et I(9/4,- 9 rac(3)/4).

Dans le repère ayant comme directions les axes principaux, l'ellipse a pour équation :
équation

Ce que l'on peut réduire sous la forme : équation réduite.

X’M et Y’M sont les coordonnées du centre M de l'ellipse :
coordonnées de M.

Les rayons A et B de l'ellipse obtenus à partir de l'équation : équation réduite de l'ellipse.

Ils sont donc égaux à :
A = rayon A ≈ 5,411
B = rayon B ≈ 2,8.

5. Hyperbole

la geometrie de descartes - ed. 1637 - hyperbole solution du probleme de pappus - copyright Patrice Debart 2002

GeoGebra Figure interactive dans GeoGebraTube : problème de Pappus

      Voir aussi : solution du problème de Pappus « à quatre droites » avec GeoGebra

Démonstrations de Descartes

Valeurs par défaut z = 1 ; b = 1 ; d = 1/2 ; f = 1 ; k = 3 et l = 5, paramètres c = 3/2, e = 1 et g = 2 donc le point F est en S.

On a alors cg = 3.

Le segment CF mesure CF = y + 3/2 + x/2,
l'égalité CB ×CF = CD × CH donne : y (y + 3/2 + x/2) = 3/2(y + x) × 2 (y + 5 – x).

D'où l'équation 3x2 + 1/2 xy – 2 y2– 15x27/2y = 0.

En divisant par 2, on obtient y21/4 xy + 27/4y = 3/2x215/2x ; qui est le début du carré de (y1/8x + 27/8).

L'équation peut alors s'écrire : (y1/8x + 27/8)2 = 97/64x2267/32x + 729/64,
d'où l'expression : y = 1/8 x27/8 à rac(729/64 - 267/32 x + 97/64 x²).

Par identification on a les quatre paramètres : m = − 27/8, o = − 267/32, p = 2619/512 et n = − 1/8.

Placer sur (BC) les points K tel que BK = −m = 27/8 et L tel que KL = nx = 1/8x, puis tracer le segment IK parallèle et égal à AB.

Dans le triangle ILK le paramètre a est égal à 1,068.

Le centre M de la conique est situé sur la droite (IL) tel que IM = aom/(2p) ≈ 2,939.

La droite (IL) coupe l'hyperbole en N et N’.

La moitié du rayon traversant est alors MN = (aom/(2p))rac(o² + 4mp) ≈ 0,264.

Dans le repère orthonormé, le changement de variables donne l'équation :

3X2 + 5rac(3)/3XY – 2Y2 – 15X + 4 rac(3) Y = 0.

En divisant par 2, on trouve : (Y5rac(3)/3Xrac(3))2 = 97/48 X² - 5X + 3,
d'où les équations Y = 5rac(3)/3X + rac(3) ± rac(97/48 X² - 5X + 3).

On peut remarquer une erreur de directions principales dans le dessin de l'hyperbole.

Dans le repère ayant comme directions les axes principaux, l'hyperbole a pour équation :
équation de l'hyperbole.

Que l'on peut réduire sous la forme :
équation réduite.

X’M et Y’M sont les coordonnées du centre M de l'hyperbole :
Coordonnées du centre.

Les rayons A et B de l'hyperbole peuvent être obtenus à partir de l'équation :

équation réduite.

6. Parabole

la geometrie de descartes - ed. 1637 - parabole solution du probleme de pappus - copyright Patrice Debart 2002

La conique d'équation :

cg x2 + e/2 xy + (e – cg) y2 – 5 cg x + (3/2e – 5 cg) y = 0

est une parabole si son excentricité e^2/16cg (e – cg) est nulle.

En choisissant cg = 1 le paramètre e d'une parabole satisfait à l'équation : e^2/16e + 1 = 0
qui admet deux solutions 4(2 + rac(3)) et 4(2 – rac(3)).

GeoGebra Figure interactive dans GeoGebraTube : parabole du problème de Pappus

      Voir aussi : solution du problème de Pappus « à quatre droites » avec GeoGebra – Figures dynamiques

Étudions le cas e = 4(2 – rac(3)) avec les valeurs par défaut z = 1 ; b = 1 ; d = 1/2 ; f = 1 ; k = 3 et l = 5 ; les autres paramètres étant c =1 et g = 1.
La distance CF est égale à : CF = 4(2 – rac(3)) (y + 3/2 + x/2) = 2(2 – rac(3)) (2y + 3 + x),
L'égalité CB × CF = CD × CH donne : 2(2 – rac(3)) y (2y + 3 + x) = (y + x) (y + 5 – x).
Le coefficient de y2 est : e – cg = 7 – 4 rac(3) = (2 – rac(3))2.
D'où l'équation : x2 + 2(2 – rac(3)) xy + (2 – rac(3))2 y2 – 5x + (7 – 6rac(3)) y = 0.
Le développement du début du carré donne : [(2 – rac(3))y + x – (2 + 5rac(3)/2)]2 = (1 – 5rac(3))x + (2 + 5rac(3)/2)2.

(2 – rac(3)) y = − x + (2 + 5rac(3)/2) à rac(aX + b).

En divisant par 2 – rac(3), on obtient :

y = − (2 + rac(3)) x + 23/2 + 7 rac(3) à rac(ax + b)

Par identification on obtient les quatre paramètres : m = 23/2 + 7 rac(3), o = − 53 – 31 rac(3) et n = (2 + rac(3)).
Placer sur (BC) les points K tel que BK = m et L tel que KL = nx, puis tracer le segment IK parallèle et égal à AB.
Dans le triangle ILK, le paramètre a est égal à 3,346.
Dans le repère orthonormé d'origine A, le changement de variables donne l'équation :

X2 + 2(2 – rac(3)) XY + (7 – 4rac(3)) Y2 – 5X + (12 – 19rac(3)/3)Y = 0.

En utilisant la méthode de complétion du carré  :
[(2 – rac(3))Y + X + (5/2 - rac(3)/3)]2 = aX + b,
(2 – rac(3))Y = − X – (5/2 - rac(3)/3) ±.... rac(aX + b)

Y = (2 + rac(3))[– X + (- 5/2 + rac(3)/3) ±rac(aX + b)]

D'où les équations Y = − (2 + rac(3)) X11 rac(3)/6 - 4 ± rac(aX + b).

Dans le repère ayant comme directions les axes principaux, un deuxième changement de repère permet d'obtenir l'équation :

équation de la parabole.

Cette équation peut être réduite sous la forme :
équation de la parabole

Si X’M et Y’M sont les coordonnées du sommet M de la parabole, l'équation de la conique est alors :
équation de la parabole

avec Coordonnées de M

Œuvre
de René Descartes

Pages suivantes
Livre deuxième

Note sur le Problème de Pappus

GeoGebra Les coniques du problème de Pappus
avec GeoGebra

Œuvres de Pappus

Théorème de Pappus : plan projectif

Petit théorème de Pappus

Parallélogramme de Pappus : preuve par homothétie

Démonstration par Pappus du théorème de Pythagore

Page mobile friendly Sur tablette numérique ou smartphone, bascule automatique vers la version mobile du Livre Premier

Mon travail sur WikiSource Lettre CDXXIII. Descartes à Mersenne - 2 mars 1646 - A propos du problème de Pappus

Autres problèmes de Pappus
    – échelle contre un mur

    – cercles tangents en chaîne

Glossaire - Rétrolien (backlink)

Publimath Publimath : problème de Pappus

ChronoMath : PAPPUS d'Alexandrie

 

Page no 23, réalisée le 2/11/2002,
mise à jour le 20/7/2011