René DescartesDescartes et les Mathématiques

La Géométrie de Descartes - Début du Livre Deuxième

Les coordonnées cartésiennes

Fac-similés de « La Géométrie » et commentaires sur la nature des lignes courbes ;
d'après l'édition de 1637 publiée dans The geometry of Rene Descartes de David Eugene Smith et Marcia L. Latham.

La Géométrie

Livre Premier – texte et notes pour mobiles

Les opérations algébriques

Le problème de Pappus

Livre Second

De la nature des lignes courbes
La méthode des tangentes

Ovales de Descarte

Pages pour mobiles Sur tablette numérique ou smartphone, bascule automatique vers la version mobile du livre Second

Livre Troisième – texte et notes pour mobiles

Les équations

La racine cubique

La réflexion de Descartes sur la nature des courbes planes lui permet de mettre de l'ordre en géométrie.

Une anecdote raconte qu'observant une mouche qui se promenait sur les carreaux d'une fenêtre, il aurait pensé à définir les coordonnées du plan.

Elles lui permettent de représenter les courbes géométriques au moyen d'une équation entre ces deux coordonnées et de mettre en équation un lieu de points,
et il sera le premier à classer les courbes par genre, préfigurant le classement des fonctions par degré.
Il explique que l'équation est suffisante pour déterminer les propriétés d'une courbe et pour déterminer les normales et les tangentes.

Table des matières de La Géométrie

Quelles sont les lignes courbes qu'on peut recevoir en géométrie

page 315

La façon de distinguer toutes ces lignes courbes, et de connaître le rapport qu'ont leurs points à ceux des lignes droites

page 319

De la nature des lignes courbes

La Géométrie - Livre second - Page 315

la geometrie de descartes - ed. 1637 - page 315

Dans cette première partie du deuxième livre, Descartes critique vivement les Grecs qui divisaient les problèmes de géométrie en trois classes :
  • Les problèmes plans qui peuvent se résoudre à l'aide de droites et de cercles,
  • Les problèmes solides qui utilisent les coniques,
  • Les problèmes mécaniques (c'est-à-dire transcendant) comme les spirales,

les conchoïdes, les cissoïdes ou les quadratrices.

Quelles sont les lignes courbes qu'on peut recevoir en géométrie.

Les Anciens ont fort bien remarqué qu'entre les problèmes de géométrie, les uns sont plans, les autres solides et les autres linéaires, c'est-à-dire que les uns peuvent être construits en ne traçant que des lignes droites et des cercles ; au lieu que les autres ne le peuvent être, qu'on n'y emploie pour le moins quelque section conique ; ni enfin les autres, qu'on n'y emploie quelque autre ligne plus composée.

Mais je m'étonne de ce qu'ils n'ont point outre cela distingué divers degrés entre ces lignes plus composées, et je ne saurais comprendre pourquoi ils les ont nommées mécaniques plutôt que géométriques.

Car de dire que ç'ait été à cause qu'il est besoin de se servir de quelque machine pour les décrire, il faudrait rejeter par même raison les cercles et les lignes droites, vu qu'on ne les décrit sur le papier qu'avec un compas et une règle, qu'on peut aussi nommer des machines.

Ce n'est pas non plus à cause que les instruments qui servent à les tracer, étant plus composés que la règle et le compas, ne peuvent être si justes ; car il faudrait pour cette raison les rejeter des mécaniques, où la justesse des ouvrages qui sortent de la main est désirée, plutôt que de la Géométrie, où c'est seulement la justesse du raisonnement qu'on recherche,

La Géométrie - Livre second - Page 316

la geometrie de descartes - ed. 1637 - page 316

et qui peut sans doute être aussi parfaite touchant ces lignes que touchant les autres.

Je ne dirai pas aussi que ce soit à cause qu'ils n'ont pas voulu augmenter le nombre de leurs demandes (postulats), et qu'ils se sont contentés qu'on leur accordât qu'ils pussent joindre deux points donnés par une ligne droite, et décrire un cercle d'un centre donné qui passât par un point donné ; car ils n'ont point fait de scrupule de supposer outre cela, pour traiter des sections coniques, qu'on pût couper tout cône donné par un plan donné.

Et il n'est besoin de rien supposer pour tracer toutes les lignes courbes que je prétends ici d'introduire, sinon que deux ou plusieurs lignes puissent être mues l'une par l'autre, et que leurs intersections en marquent d'autres ; ce qui ne me paraît en rien plus difficile.

Il est vrai qu'ils n'ont pas aussi entièrement reçu les sections coniques en leur géométrie, et je ne veux pas entreprendre de changer les noms qui ont été approuvés par l'usage ; mais il est, ce me semble, très clair que, prenant comme on fait pour géométrique ce qui est précis et exact, et pour mécanique ce qui ne l'est pas, et considérant la Géométrie comme une science qui enseigne généralement à connaître les mesures de tous les corps, on n'en doit pas plutôt exclure les lignes les plus composées que les plus simples, pourvu qu'on les puisse imaginer être décrites par un mouvement continu, ou par plusieurs qui s'entre-suivent, et dont les derniers soient entièrement réglés par ceux qui les précèdent ; car par ce moyen on peut toujours avoir une connaissance exacte de leur mesure.

Mais peut-être que ce qui a empêché les anciens géomètres de recevoir

La Géométrie - Livre second - Page 317

la geometrie de descartes - ed. 1637 - page 317

celles qui étaient plus composées que les sections coniques, c'est que les premières qu'ils ont considéré, ayant par hasard été la spirale, la quadratrice et semblables, qui n'appartiennent véritablement qu'aux mécaniques, et ne sont point du nombre de celles que je pense devoir ici être reçues, à cause qu'on les imagine décrites par deux mouvements séparés, et qui n'ont entre eux aucun rapport qu'on puisse mesurer exactement ; bien qu'ils aient après examiné la conchoïde, la cissoïde, et quelque peu d'autres qui en sont, toutefois à cause qu'ils n'ont peut-être pas assez remarqué leurs propriétés, ils n'en ont pas fait plus d'état que des premières ; ou bien c'est que, voyant qu'ils ne connaissaient encore que peu de choses touchant les sections coniques, et qu'il leur en restait même beaucoup, touchant ce qui se peut faire avec la règle et le compas, qu'ils ignoraient, ils ont cru ne devoir point entamer de matière plus difficile.

Descartes propose un montage de règles et d'équerres glissant les unes sur les autres, qui permet de décrire des courbes de plus en plus complexes, mais qui sont toutes géométriques, par opposition aux courbes mécaniques (transcendantes).

Mais pourceque j'espère que dorénavant ceux qui auront l'adresse de se servir du calcul géométrique ici proposé, ne trouveront pas assez de quoi s'arrêter touchant les problèmes plans ou solides, je crois qu'il est à propos que je les invite à d'autres recherches, où ils ne manqueront jamais d'exercice.

Voyez les lignes AB, AD, AF et semblables, que je suppose avoir été décrites par l'aide de l'instrument XYZ, qui est composé de plusieurs règles tellement jointes que celle qui est marquée YZ étant arrêtée sur la ligne AN, on peut ouvrir et fermer l'angle XYZ, et que lorsqu'il est tout fermé, les points B, C, D, E, F, G, H sont tous assemblés au point A; mais qu'à mesure qu'on

L'instrument XYZ… et …D, E, F… ont été ajoutés par Schooten.

La Géométrie - Équerres glissantes - Page 318

la geometrie de descartes - ed. 1637 - equerres glissantes - page 318

l'ouvre, la règle BC, qui est jointe à angles droits avec XY au point B, pousse vers Z la règle CD, qui coule sur YZ en faisant toujours des angles droits avec elle ; et CD pousse DE, qui coule tout de même sur YX en demeurant parallèle à BC ; DE pousse EF, EF pousse FG, celle-ci pousse GH, et on en peut concevoir une infinité d'autres qui se poussent consécutivement en même façon, et dont les unes fassent toujours les mêmes angles avec YX et les autres avec YZ.

Or, pendant qu'on ouvre ainsi l'angle XYZ, le point B décrit la ligne AB, qui est un cercle ; et les autres points D, F, H, où se font les intersections des autres règles, décrivent d'autres lignes courbes AD, AF, AH, dont les dernières sont par ordre plus composées que la première, et celle-ci plus que le cercle ; mais je ne vois pas ce qui peut empêcher qu'on ne conçoive aussi nettement et aussi distinctement la description de cette première que du cercle, ou


Compas angulaire ou mésolabe cartésien

la geometrie de descartes - ed. 1637 - equerres glissantes - copyright Patrice Debart 2002

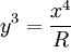
Ce montage de règles et d'équerres, glissant les unes sur les autres, permet de décrire des courbes de plus en plus complexes :
avec les notations modernes, le point B décrit un cercle de rayon R et x2 + y2 = R2
Le point D décrit la courbe d'équation y = \frac{x^2}{R},
y^2 = \frac{x^3}{R} pour F et y^3 = \frac{x^4}{R} pour H.
Malgré tout, elles sont toutes géométriques, par opposition aux courbes mécaniques (transcendantes).

g2w Télécharger la figure GéoPlan pb_solid.g2w

La Géométrie - Livre second - Page 319

la geometrie de descartes - ed. 1637 - page 319

du moins que des sections coniques ; ni ce qui peut empêcher qu'on ne conçoive la seconde, et la troisième, et toutes les autres qu'on peut décrire, aussi bien que la première ; ni par conséquent qu'on ne les reçoive toutes en même façon pour servir aux spéculations de géométrie.

Courbes « qui seraient de plus en plus composées par degré à l'infini. »

La façon de distinguer toutes ces lignes courbes en certains genres, et de connaître le rapport qu'ont tous leurs points à ceux des lignes droites.

Cette méthode lui parait encore insuffisante et il dévoile son idée maîtresse :
la façon de distinguer les lignes courbes est de connaître le rapport qu'on leurs points à ceux de lignes droites, c'est dire de connaître l'équation de la courbe par rapport à un système d'axes et il propose une classification des courbes par genre en groupant les fonctions de degré 2n et 2n – 1.
Il faudra attendre Fermat pour le classement suivant le degré de l'équation.

Il faudra attendre Leibniz pour préciser la nature des autres courbes dites mécaniques ou transcendantes. C'est d'autant plus curieux que l'invention des logarithmes date de l'époque de Descartes.

Je pourrais mettre ici plusieurs autres moyens pour tracer et concevoir des lignes courbes qui seraient de plus en plus composées par degrés à l'infini ; mais pour comprendre ensemble toutes celles qui sont en la nature, et les distinguer par ordre en certains genres, je ne sache rien de meilleur que de dire que tous les points de celles qu'on peut nommer géométriques, c'est-à-dire qui tombent sous quelque mesure précise et exacte, ont nécessairement quelque rapport à tous les points d'une ligne droite, qui peut être exprimée par quelque équation (concept fondamental de la géométrie analytique), en tous par une même ; et que, lorsque cette équation ne monte que jusqu'au rectangle de deux quantités indéterminées, ou bien au carré d'une même, la ligne courbe est du premier et plus simple genre, dans lequel il n'y a que le cercle, la parabole, l'hyperbole et l'ellipse qui soient compris ;

mais que lorsque l'équation monte jusqu'à la troisième ou quatrième dimension des deux, ou de l'une des deux quantités indéterminées (car il en faut deux pour expliquer ici le rapport d'un point à un autre), elle est du second ; (le second genre regroupe les troisième et quatrième degrés, car une équation du quatrième degré peut se ramener à une du troisième)

et que lorsque l'équation monte jusqu'à la cinquième ou sixième dimension, elle est du troisième ; et ainsi des autres à l'infini.

La Géométrie - Hyperbole de Descartes - Page 320

la geometrie de Descartes - equerre nommee plan rectiligne - page 320

Texte fondamental, où Descartes introduit les coordonnées x et y.

Pour illustrer sa méthode, Descartes décrit le montage d'un triangle rectangle KLN, équerre nommée « plan rectiligne CNKL », dont le bord [KL] (diamètre de longueur b) glisse, par translation, sur une règle (AK).

Lorsque le point L varie, le point C, déterminé par l'intersection de (KN) et de la règle (GL) permet d'engendrer une courbe (E).

Descartes introduit son système de coordonnées par rapport au repère d'origine A, déterminé par les deux droites perpendiculaires [AG] et [AK),

La coordonnée y est égale à la distance CB du point C à l'axe (AK) et la coordonnée x est égale à BA, distance du point C à l'axe (AG).

Attention : contrairement à l'usage moderne, les coordonnées positives sont dans le deuxième quadrant. L'ordonnée est x, « appliquée par ordre » sur (AG), et l'abscisse y est positive. Ces coordonnées, positives, ne sont pas nommées par Descartes.

Il détermine l'équation de l'ensemble (E) et montre que la courbe est une hyperbole.

Page 319

Tranformation de Descartes

Comme si je veux savoir de quel genre est la ligne EC, que j'imagine être décrite par l'intersection de la

Page 320

règle GL et du plan rectiligne CNKL, dont le côté KN est indéfiniment prolongé vers C, et qui, étant mu sur le plan de dessous en ligne droite, c'est-à-dire en telle sorte que son diamètre (côté) KL se trouve toujours appliqué sur quelque endroit de la ligne BA prolongée de part et d'autre, fait mouvoir circulairement cette règle GL autour du point G, à cause qu'elle lui est tellement jointe qu'elle passe toujours par le point L.

Descartes détermine l'équation par rapport à un axe (comme AB pour les x), il ne détermine explicitement l'axe des y. Il affirme que le genre de la courbe ne dépend pas du choix de l'axe :

Je choisis une ligne droite comme AB, pour rapporter à ses divers points tous ceux de cette ligne courbe EC; et en cette ligne AB je choisis un point comme A, pour commencer par lui ce calcul.

Je dis que je choisis et l'un et l'autre, à cause qu'il est libre de les prendre tels qu'on veut ; car encore qu'il y ait beaucoup de choix pour rendre l'équation plus courte et plus aisée, toutefois en quelle façon qu'on les prenne, on peut toujours faire que la ligne paraisse de même genre, ainsi qu'il est aisé à démontrer. (la nature de la courbe n'est pas affectée par la transformation des coordonnées)

La Géométrie - Équerre rectiligne - Page 321

la geometrie de descartes - ed. 1637 - equerre nommee plan rectiligne - page 321

Après cela prenant un point à discrétion dans la courbe, comme C, sur lequel je suppose que l'instrument qui sert à la décrire est appliqué, je tire de ce point C la ligne CB parallèle à GA, et pourceque CB et BA sont deux quantités indéterminées et inconnues, je les nomme l'une y et l'autre x ; mais afin de trouver le rapport de l'une à l'autre, je considère aussi les quantités connues qui déterminent la description de cette ligne courbe, comme GA, que je nomme a, KL que je nomme b, et NL, parallèle à GA, que je nomme c ; puis je dis, comme NL est à LK, ou c à b, ainsi CB ou y est à BK, qui est par conséquent \frac bc y : et BL est \frac bc y - b, et AL est x+ \frac bc y - b.

De plus, comme CB est à LB, ou y à \frac bc y - b, ainsi a ou GA est à LA ou x+ \frac bc y - b ; de façon que,

La Géométrie - Livre second - Page 322

la geometrie de descartes - ed. 1637 - page 322

multipliant la seconde par la troisième,

on produit \frac {ab}{c} y - ab,

qui est égale à xy + \frac bc y^2 - by, qui se produit en multipliant la première par la dernière : et ainsi l'équation qu'il fallait trouver est

y^2 = cy - \frac {cx}b y + ay - ac,
de laquelle on connaît que la ligne EC est du premier genre, comme en effet elle n'est autre qu'une hyperbole.

Que si, en l'instrument qui sert à la décrire, on fait qu'au lieu de la ligne droite CNK, ce soit cette hyperbole, ou quelque autre ligne courbe du premier genre, qui termine le plan CNKL, l'intersection de cette ligne et de la règle GL décrira, au lieu de l'hyperbole EC, une autre ligne courbe qui sera d'un second genre.

Comme si CNK est un cercle dont L soit le centre, on décrira la première conchoïde des Anciens ; et si c'est une parabole dont le diamètre soit KB, on décrira la ligne courbe que j'ai tantôt dit être la première et la plus simple pour la question de Pappus, lorsqu'il n'y a que cinq lignes droites données par position (droites parallèles à une direction – position – donnée) ; mais si au lieu d'une de ces lignes courbes du premier genre, c'en est une du second qui termine le plan CNKL, on en décrira, par son moyen, une du troisième, ou si c'en est une du troisième, on en décrira une du quatrième, et ainsi à l'infini, comme il est fort aisé à connaître par le calcul.

Et en quelque autre façon qu'on imagine la description d'une ligne courbe, pourvue qu'elle soit du nombre de celles que je nomme Géométriques, on pourra toujours trouver

La Géométrie - Livre second - Page 323

la geometrie de descartes - ed. 1637 - page 322

une équation pour déterminer tous ses points en cette sorte.

Au reste, je mets les lignes courbes qui font monter cette équation jusqu'au carré, au même genre que celles qui ne la font monter que jusqu'au cube ; et celles dont l'équation monte au carré de cube, au même genre que celles dont elle ne monte qu'au sursolide, et ainsi des autres : dont la raison est qu'il y a règle générale pour réduire au cube toutes les difficultés qui vont au carré de carré, et au sursolide toutes celles qui vont au carré de cube ; de façon qu'on ne les doit point estimer plus composées.

Mais il est à remarquer qu'entre les lignes de chaque genre, encore que la plupart soient également composées, en sorte qu'elles peuvent servir à déterminer les mêmes points et construire les mêmes problèmes, il y en a toutefois aussi quelques-unes qui sont plus simples, et qui n'ont pas tant d'étendue en leur puissance ; comme entre celles du premier genre, outre l'ellipse, l'hyperbole et la parabole, qui sont également composées, le cercle y est aussi compris, qui manifestement est plus simple ; et entre celles du second genre, il y a la conchoïde vulgaire, qui a son origine du cercle ; et il y en a encore quelques autres qui, bien qu'elles n'aient pas tant d'étendue que la plupart de celles du même genre, ne peuvent toutefois être mises dans le premier.

Suite de l'explication de la question de Pappus mise au livre précédent

(l'explication commence Livre Second - page 307)

Or, après avoir ainsi réduit toutes les lignes courbes à certains genres, il m'est aisé de poursuivre en la démonstration de la réponse que j'ai tantôt faite à la question de Pappus. Car premièrement, ayant fait voir ci-dessus,

Pages suivantes :

Suite de l'explication de la question de Pappus

Si Descartes avait eu GéoPlan…

Hyperbole de Descartes

Équerre (instrument CNKL) et hyperbole

la geometrie de descartes - equerre (instrument cnkl) et hyperbole - copyright Patrice Debart 2002

Une équerre KNL glisse le long d'une droite fixe (AK). Une règle est placée entre un point fixe G du plan et le sommet L variable de l'équerre. Alors le lieu des points C, intersection du côté (KN) de l'équerre et la barre (LG) est un arc d'hyperbole.

g2w Télécharger la figure GéoPlan courbe_hyper.g2w

Figure ci-contre, outre le point G l'hyperbole rencontre l'axe horizontal en P, tel que PA = NL = c.

À l'opposé soit Q le point de l'axe horizontal tel que QG = PA = c, la parallèle à (KN) passant par Q est asymptote.

I étant le point d'intersection de cette parallèle avec la perpendiculaire en A à (GA), les droites (IA) et (IQ) sont les deux asymptotes à l'hyperbole.

En effet, DC × CB = QP × PA.

Cas général

la geometrie de descartes - hyperbole - copyright Patrice Debart 2002

Quel que soit l'«instrument CNKL », en posant
GA = a, KL = b, AB = x, CB = y, KB = z on a LB = z – b et AL = x + z – b.

Le Théorème de Thalès permet d'écrire GA/AL = CB /BL.
D'où l'égalité a/(x + z - b) = y/(z - b), de là on tire z = (xy - by + ab)/(a - y).

Puis on identifie z avec l'équation de l'instrument CNKL pour trouver l'équation de (E).

g2w Télécharger la figure GéoPlan courbe_hyper2.g2w

Instrument parabole et courbe du cinquième degré

la geometrie de descartes - instrument parabole et courbe du cinquieme degre - copyright Patrice Debart 2002

Le « plan rectiligne CNK », est une parabole où [KL] est le diamètre de [NN’].
Ce diamètre de la parabole, de longueur b, glisse sur une règle (AK).

La parabole rencontre la droite (GL) aux points C et C’, qui décrivent une courbe du cinquième degré.

Indication

En appliquant les résultats du cas général, dans l'exemple ci-dessus la parabole a pour équation z = y2, en identifiant z,
on a y2 = (xy - by + ab)/(a - y),
soit ay2y3 = xy – by + ab et l'équation de (E) est :
x = − y2ay + b + ab/y.

Remarque

Avec GéoPlan, on ne sait pas trouver les points d'intersection d'une droite et d'une courbe.
Ne sachant pas calculer les coordonnées de C et C’, ces points ne sont pas marqués.

g2w Télécharger la figure GéoPlan courbe_para.g2w

Cercles et conchoïde

la geometrie de descartes - lieu geometrique - conchoide - copyright Patrice Debart 2002

Descartes rappelle que sa méthode engendre la première conchoïde des Anciens, lorsque l'on remplace le « triangle NKL » par le cercle de centre L de rayon LK = b.

Étant donné un pôle G, un point A, une directrice perpendiculaire en A à (GA),
et un module b, à partir d'un point L de la directrice, on construit les deux points C et C’ de la droite (GL) situés à une distance b de L tels que :

LC = LC’ = b.

La conchoïde est le lieu géométrique des points C et C’ lorsque centre L parcourt la directrice.

g2w Télécharger la figure GéoPlan courbe_conchoide.g2w

Voir aussi : tangente à la conchoïde


Œuvre mathématique
de René Descartes

Histoire des
mathématiques

Notes pour
« La Géométrie »

La parabole
chez les Anciens

Mon travail sur WikiSource WikiSource - Mode texte : La Géométrie (éd. Cousin)

 

Page no 159, déplacée et modifiée le 24/9/2010