René DescartesGeoGebraDescartes et les Mathématiques

Calcul de Mons. des Cartes

Œuvres de Descartes, édition Adam et Tannery, tome X, pages 659-680
En général, les formules ne sont pas réécrites, se référer au scan.

1. Triangle rectangle, connaissant un côté et la différence des deux autres

2. Papillon formé par deux triangles rectangles dans un demi-cercle

3. Un lieu plan d'Apollonius

4. Triangle avec un côté et la somme des deux autres

Le Calcul de Mons. des Cartes est un commentaire de « La Géométrie » de René Descartes, attribué à Godefroy de Haestrecht, un gentilhomme hollandais.
Une copie a été retrouvée chez Leibniz.

Figures dynamiques des problèmes géométriques

l638

Exemple Premier.

Triangle rectangle, connaissant un côté et la différence des deux autres

L'un des côtés d'un triangle rectangle, et la différence des deux autres côtés étant donnée, trouver le reste du triangle.

GeoGebra Figure interactive de GeoGebraTube : triangle avec un angle, un côté et la somme des autres

Calcul de Mons. des Cartes - Page 674

Adam et Tannery X, page 674

Supposition : BC = a, BD = b, AC = x ; la chose comme déjà faite (la méthode de Descartes : on suppose le problème résolu).
Les deux carrés <de> (a. de omis MS) AC = x2, BC = a2 sont égaux au carré de AB.
Mais AB = x + b, et son carré est x2 + 2 bx + b2.

Donc ques il y a équation entre x2 + a2 et < = > x2 + 2 bx + b2 (b. MS. : & écrit d’ abord, puis au-dessous, le signe =.).

J’ôte de part et d’autre x2 + a2, il me reste 2bx = a2b2, lesquelles quantités je divise par 2 b.

Vient x = (a2b2)/(2b). Ce qui montre que, la différence des deux carrés de BC et BD étant divisée par le double de BD, le quotient sera le côté AC.

Ou bien, trouvant une ligne qui soit à la ligne a comme a est au double de b, puis en ôtant la moitié de cette ligne < b >, le reste est x ou AC, qui était cherché, etc.

En effet : y/a = a/(2b) d'où y = a2/(2b), puis le reste y – b/2 est x.

2. Exemple.

Papillon formé par deux triangles rectangles dans un demi-cercle

Deux triangles rectangles étant donnés sur une même base, s’entrecoupant en un point, trouver les segments des côtés qui s’entrecoupent.

GeoGebra Figure interactive dans GeoGebraTube : deux triangles rectangles formant un papillon

Calcul de Mons. des Cartes - Page 675

Adam et Tannery X, page 675

Hypothèses : BE = x AB = a, AC = b, DC = c, DB = d (et c >a).

La chose comme déjà faite. Si BE = x, DE = d – x.

Et à cause que les triangles rectangles ABE et CDE sont semblables,
AB = a est à BE = x, comme DC = c est à CE = cx/a.

AB/BE = DC/CE ; a/x = c/CE ; CE = cx/a.

Derechef, comme DC = c est à DE = d – x, ainsi AB = a est à AE = (ad – ax)/c.

Et CE = cx/a étant ôté de AC = b, restera AE = bcx/a,

DC/DE = AB/AE ; c/(d – x) = a/AE ; AE = bcx/a.

en d’autres termes qui donnent l'équation suivante bcx/a = (ad – ax)/c,
ou bien a2da2x = abcc2x.

Ôtant de part et d’autre – c2x + a2d, restera c2xa2 = abc – a2d.
Et divisant l'une et l'autre partie par c – a2 j’aurai

x = (abc – a2d)/(c2a2).

C’est-à-dire que, comme la différence des carrés de AB et DC (qui sont les côtés qui ne s’entrecoupent point) est à la différence des rectangles ACD et ABD, ainsi le côté AB est à la ligne BE = x.
Ou bien l'analogie s’exprimera ainsi (a. MS. : « comme c2a2 || bc – ad || ainsi a || x. ».): comme (c2a2)/(bc – ad) = a/x.

Et en même raison aussi DC à CE.
DC/CE = c/CE est aussi égal au même rapport (c2a2)/(bc – ad).

3. Exempleb

Un lieu plan d'Apollonius

Étant donné quatre points A, D, E, F, trouver le cinquième C,
duquel étant mené des lignes droites comme les quatre CA, CF, CD, CE, d’icelles (d’icelles correction] desquelles MS.) les carrés soient égaux à l'espace d2.

GeoGebra Figure interactive de GeoGebraTube : un lieu d'Apollonius

b. note page 675

Exemple tiré des Lieux plans d’Apollonius, L. II, Prop. V (Œuvres de Fermat, édit. Tannery et Henry, t. I, p. 37) :

Si à quotcumque datis punâis ad punâum unum infleâantur reâce et Uni Jpecies quœ ab omnibus fiunt, dato spatio œquales, punâum continget positione datam circumferentiam.

Dans une lettre de Fermat à Roberval, du 22 septembre 1636 (Ibid., t. II, p. 74), on lit :
« J’avais omis le principal usage de ma méthode, qui est

suite de la note sur la page 676

pour l'invention des lieux plans et solides ; elle m’a servi particulièrement à trouver ce lieu plan, que j’avais auparavant trouvé est difficile. » (Suit l'énoncé latin ci-dessus.)

Roberval répond à Fermat, le 11 octobre 1636 : « J’estime vos proportions des nombres, et celle du lieu plan, fort difficiles. » (ibid., t. II, p. 82.)

Fermat se décide à envoyer à Roberval la solution du lieu plan, lettre de février 1637 (t. II, p. 100). On peut la comparer avec celle de Descartes.

« Je trouve assez de loisirs pour vous envoyer encore la construction du lieu plan : Si à quotcumque, etc., que je tiens une des plus belles propositions de la Géométrie, et je crois que vous serez de mon avis. »

Calcul de Mons. des Cartes - Page 676

Adam et Tannery X, page 676

Hypothèses : AG = a, AK = f, AD = c, GF = b, KE = g, AB = x, BC = y. Je suppose la chose comme déjà faite, et le point

requis C, duquel je mène des lignes aux quatre points donnés. Et le joins aussi deux de ces points par la ligne AD, sur laquelle des autres points je fais tomber les perpendiculaires EK, GF. CB ; et soit EK plus grande que FG. Puis je cherche les quatre carrés requis en cette sorte suivant les suppositions de mon registre. Et premièrement, le carré de AB = x2 et celui de BC = y2.

Donc que le carré de AC : AC2 = x2 + y2.

Les deux carrés < de > BD = c – x et BC = y sont c2 – 2 cx + x2 et y2.

Donc que le carré de CD : CD2 = y2 + c2 – 2cx + x2.

Et le carré de la ligne CB + GF est y2 + 2 by + b2 et le

Calcul de Mons. des Cartes - Page 677

Adam et Tannery X, page 677

carré de GB = x – a est x2 – 2 ax + a2 ; et ces deux derniers carrés sont égaux au carré de

CF : CF2 = y2 + 2 by + b2 + x2 – 2 ax + a2.

Les deux carrés <de> CH et BK = y – g et f – x, sont y2 – 2 gy + g2, et f2 – 2 fx + x2 qui sont égaux au carré de CE : CE2 = y2 – 2 gy + g2 + f2 – 2 fx + x2.

Et la somme de ces quatre carrés étant égale à l'espace donné d2, j’ai, après l'addition faite,

4y2 + 4x2 + a2 + b2 + c2 + f2 + g2 + 2 by – 2 gy – 2 cx – 2 ax – 2 fx = d2.

x2x(a + c + f)/2 + y2y (g – b)/2 + (a2 + b2 + c2 + f2 + g2d2)/4 = 0.

Et comme j’ai supposé deux quantités inconnues x et y, et que je ne vois point de moyen de trouver une seconde équation, je conclus que la question n’est pas assez déterminée, et que ce doit être un lieu, par la page 334 de la Géométrie (a. Voir t. VI, p. 407). Et lors, selon la page 300, ligne 22 (b. Ibid., p. 372-373.), j’en puis prendre une à discrétion, que je choisis ici pour AB = x, et je déterminerai par cette équation y, comme s’ensuit :

y2 = – x2 + x(a + c + f)/2 + y (g – b)/2 – (a2 + b2 + c2 + f2 + g2d2)/4,

dont il faut tirer la racine, suivant les préceptes de la Géométrie, page 302,

y2y (g – b)/2 = – x2 + x(a + c + f)/2 – (a2 + b2 + c2 + f2 + g2d2)/4,
y2y (g – b)/2 est le début du carré de y – (g – b)/4.

y = (g – b)/4 +
rac(– (4 a2 + 3 b2 + 4c2+ 4 f2 + 3 g2 + 2 bg – d2)/16 + x(a + c + f)/2 – x2).

Et je vois d’abord, en la page 328 (c. Ibid., p. 400). que c’est une ellipse ou un cercle, à cause qu’il y a – x2 et puisque l'angle est droit(dans l'angle IKL de la page 328), il n’y a plus rien de requis pour la détermination du cercle, sinon que a2m soit égal à pz2. Pour le savoir, je regarde quelles sont ces quantités, et d’où elles sont venues ; et je vois, page 328, que a et z avec n servent à exprimer la proportion entre KI et IL (d. KI et IL correction K et I MS), en la figure de la page 329, lesquelles sont ici égales, et par conséquent, a = z ou bien a2 = z2. Reste p/m, qui a été pris pour le terme multiplié par x2 qui est ici l'unité.

Et ainsi p/m = 1, ou bien p = m. Et de là je conclus

Calcul de Mons. des Cartes - Page 678

Adam et Tannery X, page 678

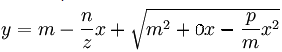
que c’est un cercle. Et parce que cette équation de la page 326, savoir (a. y]x (là tort) MS.)

y = m -\frac n{z} x + \sqrt {m^2+ox +\frac {p}{m} x^2},

sert de règle générale pour construire toutes sortes de lieux (b. Voir t. VI, p. 399, 1. 17, et aussi t. II, p. 84, 1. 12.), on la peut suivre en cette sorte : sur AD donnée, du point A soit effleurée (c….) la perpendiculaire AI égale à (g – b)/4 ; et à cause que g est plus grande que b, le point I doit être pris de la part de E au-dessus de la ligne AD. Mais si b eut été plus grande que g, le point I aurait été pris au-dessous de la ligne AD, de la part de F. Puis dudit point I, soit menée IM parallèle à AD, en laquelle est le centre du cercle ; et pour le trouver, je me sers de la détermination de IM, page 330 (d. Tome VI, p. 402. – Ligne suivante, le MS. donne SM, faute, pour IM.), = aOm/2pz, ou bien, à cause que am = pz, j’ai 1/2 O pour la ligne IM, et M est le centre du cercle. Et puisque O dénote le terme qui est dans le vinculum multiplié par x, savoirx(a + c + f)/2,
je reconnais que IM est (a + c + f)/4 (somme des abscisses divisée par le nombre de points 4), et le côté droit ou le diamètre étant déterminé peu après, en la ligne 15 de la même page, être …, qui est autant (e. Deux fois le « vinculum » manque MS.) que … , ou bien …, à cause que m = p, je vois qu’il en faut prendre la moitié pour avoir le rayon,

et qu’au carré < de > (a + c + f)/4 qui est ici 1/4O2,
on doit joindre le nombre absolu dans le vinculum désigné par – m2 qui est en cette équation (f. 2 bg manque MS.)

(– (4 a2 + 3 b2 + 4c2+ 4 f2 + 3 g2 + 2 bg – d2)/16

Et l'agrégat = <1/4 > rac(– 3a2– 3b2– 3c2 – 3f2 – 3g2 + 2ac + 2af + 2cf – 2bg + 4 d2)

fait le rayon requis de ce cercle, qu’on décrit du centre M.

Or, considérant toutes ces quantités pour faire la construction, on voit (g. Au lieu de voit] fait, faute, MS. Cf., p. 679,I. 11 et 16.) de là fort aisément, en premier lieu, que la ligne AI est 1/4 (g – b), c’est-à-dire qu’elle est composée de l'agrégat ou différence des perpendiculaires tirées sur la ligne AD (somme des ordonnées divisée par 4) des autres points donnés, comme ici F et E, divisée par le nombre de tous les points

Calcul de Mons. des Cartes - Page 679

Adam et Tannery X, page 679

donnés : à savoir, en cet exemple, à cause que GF est d'un côté de la ligne AD, et KE de l'autre, il faut prendre la différence qui est entre ces lignes, et la diviser par 4, à cause des quatre points donnés ; au lieu que, si GF et KE étaient d'un même côté de la ligne AD, il faudrait prendre leur agrégat, et diviser cette différence ou agrégat par 5, si la question était composée de cinq points ; et ainsi par 6, etc. Puis le quotient est la ligne AI, supposant le point I du côté de la ligne AD, où les perpendiculaires sont les plus grandes : comme ici, à cause que KE est plus grande que GF, je tire la ligne AI du côté où est le point E.

L'on voit, en second lieu, que IM est (a + c + f)/4, c’est-à-dire qu’elle doit être composée de l'agrégat de la ligne AD et de tous les segments de cette ligne qui sont entre le point A et ceux où tombent les perpendiculaires des autres points, divisé par le nombre des points donnés.

Et enfin on voit que, pour trouver le rayon de ce cercle, il faut seulement soustraire de l'espace donné les carrés de toutes les lignes tirées de chacun point donné à tous les autres, car ils doivent être moindres que cet espace ; et diviser le résidu par le nombre des points donnés, puis tirer la racine du quotient, laquelle est le rayon demandé.

Comme ici, par exemple, il faut ôter de d2 les carrés des six (AD, AE, AF, FE, ED, MS.) lignes AD, AE, AF, ED, DF, FE ; et ayant divisé le résidu par 4, la racine du quotient est le rayon cherché (à vérifier).

Ou bien, puisque M centre est déjà trouvé, l'on trouvera le rayon, en tirant, de tous les points donnés, des lignes droites vers M ; car si on soustrait les carrés d’icelles lignes de l'espace donné, et qu’on divise le reste par le nombre des points donnés, la racine carrée du quotient sera le rayon demandé.

En effet, avec le centre de gravité M((a + c + f)/4, 1/4 (g – b) ) des quatre points A, D, E et F, on montre, grâce aux formules d'Apollonius de Perge,
que CA2 + CD2 + CE2 + CF2 = 4 CM2 + MA2 + MD2 + ME2 + MF2 (voir barycentres et lieux).
Le lieu des points C tels que 4 CM2 + MA2 + MD2 + ME2 + MF2 = d2 est un cercle de centre M de rayon r tel que r2 = (d2 – MA2 – MD2 – ME2 – MF2)/4.

Pour retrouver l'équation classique du cercle, dans celle du début de la page 677

x2x(a + c + f)/2 + y2y (g – b)/2 + (a2 + b2 + c2 + f2 + g2d2)/4 = 0,

on fait intervenir les débuts des carrés de x – (a + c + f)/4 et y – (g – b)/4 et on a :

[x – (a + c + f)/4]2 + [y – (g – b)/4]2 – (a2 + c2 + f2 + 2ac + 2af + 2cf)/16 –
(b2+ g2 – 2bg)/16 + (a2 + b2 + c2 + f2 + g2d2)/4,
soit [x – (a + c + f)/4]2 + [y – (g – b)/4]2r2 = 0
où 16 r2 = – 3a2– 3b2– 3c2 – 3f2 – 3g2 + 2ac + 2af + 2cf – 2bg + 4 d2.

Remarque : maintenant, pour éviter la discussion du sens de GF et KE, en haut de cette page, on utilise la mesure algébrique de GF, en prenant b négatif pour cette figure ;
il suffit ensuite de remplacer – b par b dans les formules.

4. Exemple

Triangle avec un côté et la somme des deux autres

De quelconque triangle rectiligne étant donné un angle, avec un des côtés qui le comprennent, et la somme des deux autres côtés, trouver le reste du triangle

GeoGebra Figure interactive de GeoGebraTube : un triangle avec un angle, un côté

BC = a, BT = d, AB + AC = b, AC = x.

D’autant que l'angle B est donné, la raison du rayon au sinus de son

Calcul de Mons. des Cartes - Page 680

Adam et Tannery X, page 680

complément est aussi donnée ; et BC étant donné, BD le sera aussi, que je nomme d.

a, b et l'angle B sont donnés ; on en déduira d par projection et x par calcul.

Ce fait, il faut trouver la quantité BD en d’autres termes, en

cette façon : disant AB = b – x donne AC = x plus BC = a, que donnera x – a ?

Ne sachant calculer x – a, calculons x2 – a2 en exprimant CD2 avec les relations de Pythagore dans les triangles rectangles CDA et CDB :

CD2 = CA2 – AD2 = CB2 – BD2,
x2 – AD2 = a2 – BD2,
x2a2 = AD2 – BD2 = (AD + BD).(AD – BD),
x2a2 = AB.(AD – BD) = (b – x).(AD – BD),
d'où AD – BD = (x² – a²)/(b – x).

Viendra (x² – a²)/(b – x) pour la différence de AD et BD, laquelle étant soustraite de b – x, restera

b-x-(x² – a²)/(b – x),

En effet

b – x(x² – a²)/(b – x)= AB – (AD – BD) = AB – AD + BD = 2BD = 2d.

ou bien

b2 – 2 bx + x2x2 + a2 = 2 bd – 2 dx,

ou

b2 – 2 bx + a2 = 2 bd – 2 dx,

et ôtant de part et d’autre – 2 bx + 2 bd, restera

b2 + a2 – 2 bd = 2 bx – 2 dx,

et divisant les deux parties par 2b – 2d, j’aurai

x=(b2 + a2 – 2 bd)/(2 b – 2 d)

Fac-similés et commentaires de « La Géométrie »

Livre Premier
texte et notes

Début du
Livre Premier

Le problème de Pappus

Livre Second
texte et notes

Début du
Livre Deuxième

La méthode des tangentes

Livre Troisième
texte et notes

Début du
Livre Troisième

Fin du
Livre Troisième

Calcul de Mons. des Cartes
Version classique

Œuvre mathématique
de René Descartes

Notes pour
« La Géométrie
»

GeoGebra Note sur le Problème de Pappus

GeoGebra Les Coniques du problème de Pappus

 

Page no 179, créée le 26/8/2011
modifiée le 14/11/2013